题目内容
使物体脱离星球的引力束缚,不再绕星球运行,从星球表面发射所需的最小速度称为第二宇宙速度,星球的第二宇宙速度v2与第一宇宙速度v1的关系是A.
B.
C.
D.
【答案】分析:第一宇宙速度是人造地球卫星在近地圆轨道上的运行速度,即
;此题把地球第一宇宙速度的概念迁移的某颗星球上面.
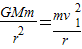
解答:解:设某星球的质量为M,半径为r,绕其飞行的卫星质量m,
由万有引力提供向心力得:
解得:
①
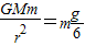
又因它表面的重力加速度为地球表面重力加速度g的
.
得:
②
③
由①②③解得:
故选:B.
点评:通过此类题型,学会知识点的迁移,比如此题:把地球第一宇宙速度的概念迁移的某颗星球上面.
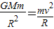
解答:解:设某星球的质量为M,半径为r,绕其飞行的卫星质量m,
由万有引力提供向心力得:
解得:
又因它表面的重力加速度为地球表面重力加速度g的
得:
由①②③解得:
故选:B.
点评:通过此类题型,学会知识点的迁移,比如此题:把地球第一宇宙速度的概念迁移的某颗星球上面.
练习册系列答案
相关题目