ÌâÄ¿ÄÚÈÝ
һλÂÿͿÉÓÃÈýÖÖ·½·¨´Ó³£Öݵ½ËÕÖÝÂÃÓΣºµÚÒ»ÖÖÊÇ³ËÆÕ¿ÍÆû³µ¾312¹úµÀµ½´ï£»µÚ¶þÖÖ·½·¨Êdz˿ì¿ÍÆû³µ¾»¦Äþ¸ßËÙ¹«Â·µ½´ï£»µÚÈýÖÖ·½·¨Êdz˻𳵵½´ï£»ÏÂÃæÊÇÈýÖÖ³µµÄ·¢³µÊ±¿Ì¼°Àï³Ì±í£¬ÒÑÖªÆÕ¿ÍÆû³µÈ«³Ìƽ¾ùʱËÙΪ60km/h£¬¿ì¿ÍÆû³µÈ«³Ìƽ¾ùʱËÙΪ100km/h£¬Á½³µÍ¾Öоù²»Í£Õ¾£¬»ð³µÔÚÖÐ;ÐèÍ£¿¿ÎÞÎýÕ¾5min£¬Éè»ð³µ½øÕ¾ºÍ³öÕ¾¶¼×öÔȱäËÙÖ±ÏßÔ˶¯£¬¼ÓËÙ¶È´óСÊÇ| ÆÕ¿ÍÆû³µ | ¿ì¿ÍÆû³µ | »ð³µ | |
| Àï³Ì/km | 75 | 80 | 72 |
| °à´Î | 7£º20 8£º20 10£º30 14£º30 ¡ | 8£º00 8£º40 9£º20 10£º55 ¡ | 8£º00 8£º33 9£º00 9£º43 ¡ |
£¨2£©»ð³µÔÚÖÐ;ÐèÍ£¿¿ÎÞÎýÕ¾5min£¬¸ù¾ÝÔȱäËÙÖ±ÏßÔ˶¯µÄ¹æÂÉÇó³ö»ð³µµÄ×Üʱ¼ä£®
£¨3£©·Ö±ðËã³öÂÃ¿Í³ËÆÕ¿Í¡¢¿ì¿Í¡¢»ð³µµ½´ïËÕÖݵÄ×îÔçʱ¿Ì£¬Ê±¿ÌÔçµÄΪÊ×Ñ¡£®
½â´ð£º½â£º£¨1£©³ËÆÕ¿ÍÆû³µ£º¡÷t1=
³ËÆÕ¿Í 8£º20·¢³µ£»9£º35µ½´ï
£¨2£©³Ë¿ì¿ÍÆû³µ£º¡÷t2=
³Ë¿ì¿Í8£º40·¢³µ£¬9£º28 µ½´ï
£¨3£©³Ë»ð³µ£ºt1=
»ð³µ±äËÙÔ˶¯×Üʱ¼ä4t1=0.2h
»ð³µ±äËÙÔ˶¯Â·³Ì
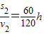
»ð³µÔÈËÙÔ˶¯Â·³Ìs2=£¨72-12£©km=60km
»ð³µÔÈËÙÔ˶¯Ê±¼ät2=
»ð³µ×Üʱ¼ä¡÷t3=4t1+t2+t3=47min
³Ë»ð³µ 8£º33·¢³µ£¬9£º20µ½´ï
ËùÒÔËûÓ¦¸ÃÑ¡Ôñ³Ë×ø»ð³µ
´ð£ºËûÓ¦¸ÃÑ¡Ôñ³Ë×ø»ð³µ£®
µãÆÀ£º±¾ÌâÖ÷ÒªÒªÇóѧÉúÄÜ´ÓÁгµÊ±¿Ì±íÖлñÈ¡Ïà¹ØÐÅÏ¢£¬²¢½øÐмÆË㣮
´ÓÁгµÊ±¿Ì±íµÃ³öÏà¹ØÐÅÏ¢£¨Àï³Ì¡¢·¢³µÊ±¼ä¡¢µ½Õ¾Ê±¼ä£©ÊDZ¾ÌâµÄ¹Ø¼ü£®
һλÂÿͿÉÓÃÈýÖÖ·½·¨´Ó³£Öݵ½ËÕÖÝÂÃÓΣºµÚÒ»ÖÖÊÇ³ËÆÕ¿ÍÆû³µ¾312¹úµÀµ½´ï£»µÚ¶þÖÖ·½·¨Êdz˿ì¿ÍÆû³µ¾»¦Äþ¸ßËÙ¹«Â·µ½´ï£»µÚÈýÖÖ·½·¨Êdz˻𳵵½´ï£®ÏÂÃæÊÇÈýÖÖ³µµÄ·¢³µÊ±¿Ì¼°Àï³Ì±í£¬ÒÑÖªÆÕ¿ÍÆû³µÈ«³Ìƽ¾ùʱËÙΪ60 km/h£¬¿ì¿ÍÆû³µÈ«³Ìƽ¾ùʱËÙΪ100 km/h£¬Á½³µÍ¾Öоù²»Í£Õ¾£¬»ð³µÔÚÖÐ;ÐèÍ£¿¿ÎÞÎýÕ¾5 min£¬Éè»ð³µ½øÕ¾ºÍ³öÕ¾¶¼×öÔȱäËÙÖ±ÏßÔ˶¯£¬¼ÓËÙ¶È´óСÊÇ2400 km£¯h¡££¬Í¾ÖÐÔÈËÙÐÐÊ»£¬ËÙÂÊΪ120 km/h£®ÈôÏÖÔÚʱ¿ÌÊÇÉÏÎç8µã05·Ö£¬ÕâλÂÿÍÏëÔçµãµ½´ïËÕÖÝ£¬ÇëÄãͨ¹ý¼ÆËã˵Ã÷Ëû¸ÃÑ¡Ôñ³Ëʲô³µ?
| ÆÕ¿ÍÆû³µ | ¿ì¿ÍÆû³µ | »ð³µ | |
| Àï³Ì£¯km | 75 | 80 | 72 |
| 7£º20 8£º20 10£º30 14£º30 ¡¡ | 8£º00 8£º40 9£º20 10£º55 ¡¡ | 8£º00 8£º33 9£º00 9£º43 ¡¡ |
һλÂÿͿÉÓÃÈýÖÖ·½·¨´Ó³£Öݵ½ËÕÖÝÂÃÓΣºµÚÒ»ÖÖÊÇ³ËÆÕ¿ÍÆû³µ¾312¹úµÀµ½´ï£»µÚ¶þÖÖ·½·¨Êdz˿ì¿ÍÆû³µ¾»¦Äþ¸ßËÙ¹«Â·µ½´ï£»µÚÈýÖÖ·½·¨Êdz˻𳵵½´ï£»ÏÂÃæÊÇÈýÖÖ³µµÄ·¢³µÊ±¿Ì¼°Àï³Ì±í£¬ÒÑÖªÆÕ¿ÍÆû³µÈ«³Ìƽ¾ùʱËÙΪ60km/h£¬¿ì¿ÍÆû³µÈ«³Ìƽ¾ùʱËÙΪ100km/h£¬Á½³µÍ¾Öоù²»Í£Õ¾£¬»ð³µÔÚÖÐ;ÐèÍ£¿¿ÎÞÎýÕ¾5min£¬Éè»ð³µ½øÕ¾ºÍ³öÕ¾¶¼×öÔȱäËÙÖ±ÏßÔ˶¯£¬¼ÓËÙ¶È´óСÊÇ
,;ÖÐÔÈËÙÐÐÊ»£¬ËÙÂÊΪ120km/h£¬ÈôÏÖÔÚʱ¿ÌÊÇÉÏÎç8µã05·Ö£¬ÕâλÂÿÍÏëÔçµãµ½´ïËÕÖÝ£¬ÇëÄãͨ¹ý¼ÆËã˵Ã÷Ëû¸ÃÑ¡Ôñ³Ëʲô³µ£¿
|
| ÆÕ¿ÍÆû³µ | ¿ì¿ÍÆû³µ | »ð³µ |
| Àï³Ì/km | 75 | 80 | 72 |
| °à´Î | 7¡Ã20 8¡Ã20 10¡Ã30 14¡Ã30 ¡¡ | 8¡Ã00 8¡Ã40 9¡Ã20 10¡Ã55 ¡¡ | 8¡Ã00 8¡Ã33 9¡Ã00 9¡Ã43 ¡¡ |
£¨13·Ö£©Ò»Î»ÂÿͿÉÓÃÈýÖÖ·½·¨´Ó³£Öݵ½ËÕÖÝÂÃÓΣºµÚÒ»ÖÖÊÇ³ËÆÕ¿ÍÆû³µ¾312¹úµÀµ½´ï£»µÚ¶þÖÖ·½·¨Êdz˿ì¿ÍÆû³µ¾»¦Äþ¸ßËÙ¹«Â·µ½´ï£»µÚÈýÖÖ·½·¨Êdz˻𳵵½´ï£®ÏÂÃæÊÇÈýÖÖ³µµÄ·¢³µÊ±¿Ì¼°Àï³Ì±í£¬ÒÑÖªÆÕ¿ÍÆû³µÈ«³Ìƽ¾ùʱËÙΪ60 km/h£¬¿ì¿ÍÆû³µÈ«³Ìƽ¾ùʱËÙΪ100 km/h£¬Á½³µÍ¾Öоù²»Í£Õ¾£¬»ð³µÔÚÖÐ;ÐèÍ£¿¿ÎÞÎýÕ¾5 min£¬Éè»ð³µ½øÕ¾ºÍ³öÕ¾¶¼×öÔȱäËÙÖ±ÏßÔ˶¯£¬¼ÓËÙ¶È´óСÊÇ2400 km£¯h¡££¬Í¾ÖÐÔÈËÙÐÐÊ»£¬ËÙÂÊΪ120 km/h£®ÈôÏÖÔÚʱ¿ÌÊÇÉÏÎç8µã05·Ö£¬ÕâλÂÿÍÏëÔçµãµ½´ïËÕÖÝ£¬ÇëÄãͨ¹ý¼ÆËã˵Ã÷Ëû¸ÃÑ¡Ôñ³Ëʲô³µ?
|
|
ÆÕ¿ÍÆû³µ |
¿ì¿ÍÆû³µ |
»ð³µ |
|
Àï³Ì£¯km |
75 |
80 |
72 |
|
|
7£º20 8£º20 10£º30 14£º30 ¡¡ |
8£º00 8£º40 9£º20 10£º55 ¡¡ |
8£º00 8£º33 9£º00 9£º43 ¡¡ |