题目内容
如图所示,由打点计时器得到表示小车运动过程的一条清晰纸带,纸带上两相邻计数点的时间间隔为T=0.10s,其中S1=7.05cm,S2=7.68cm,S3=8.33cm,S4=8.95cm,S5=9.61cm,S6=10.26cm,则A点的瞬时速度大小是 m/s,B点的瞬时速度大小是 m/s,小车的加速度大小为 m/s2(结果均保留2位有效数字).解答:解:利用匀变速直线运动的推论得:
vA=
vB=
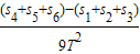
由于相邻的计数点间的位移之差不等,故采用逐差法求解加速度.
小车运动的加速度计算表达式为a=
代入数据得a=0.64m/s2.
故答案为:0.74m/s; 0.80m/s; 0.64m/s2
点评:要注意单位的换算和有效数字的保留.
能够运用逐差法求解加速度.
小华同学在做“研究匀变速直线运动”实验中,将打点计时器固定在某处,在绳子拉力的作用下小车拖着穿过打点计时器的纸带在水平木板上运动,如图所示。由打点计时器得到表示小车运动过程的一条清晰纸带的一段。 如图所示,在打点计时器打出的纸带上确定出八个计数点,相邻两个计数点之间的时间间隔为0.1s,并用刻度尺测出了各计数点到0计数点的距离,图中所标数据的单位是cm。
(1)根据纸带提供的信息,小华同学已经计算出了打下1、2、3、4、5这五个计数点时小车的速度,请你帮助他计算出打下计数点6时小车的速度(结果保留3位有效数字),并填入下表。
| 计数点 | 1 | 2 | 3 | 4 | 5 | 6 |
| t /s | 0.1 | 0.2 | 0.3 | 0.4 | 0.5 | 0.6 |
| v /(m·s-1) | 0.358 | 0.400 | 0.440 | 0.485 | 0.530 |
|
(2)以速度v为纵轴、时间t为横轴在坐标纸上建立直角坐标系,根据上表中的v、t数据,在坐标系中描点,并作出小车运动的v- t图象。
(3)根据v- t图象可知,在打0计数点时,小车的速度v0=___________m/s(保留3位有效数字);小车运动的加速度为________m/s2(保留2位有效数字)。
(12分)小华同学在做“研究匀变速直线运动”实验中,将打点计时器固定在某处,在绳子拉力的作用下小车拖着穿过打点计时器的纸带在水平木板上运动,如图所示。由打点计时器得到表示小车运动过程的一条清晰纸带的一段。如图所示,在打点计时器打出的纸带上确定出八个计数点,相邻两个计数点之间的时间间隔为0.1s,并用刻度尺测出了各计数点到0计数点的距离,图中所标数据的单位是cm。
![]()
![]()
(1)根据纸带提供的信息,小华同学已经计算出了打下1、2、3、4、5这五个计数点时小车的速度,请你帮助他计算出打下计数点6时小车的速度(结果保留3位有效数字),并填入下表。
|
计数点 |
1 |
2 |
3 |
4 |
5 |
6 |
|
t /s |
0.1 |
0.2 |
0.3 |
0.4 |
0.5 |
0.6 |
|
v /(m·s-1) |
0.358 |
0.400 |
0.440 |
0.485 |
0.530 |
|
(2)以速度v为纵轴、时间t为横轴在坐标纸上建立直角坐标系,根据上表中的v、t数据,在坐标系中描点,并作出小车运动的v—t图象。
![]()
(3)根据v—t图象可知,在打0计数点时,小车的速度v0 =___________m/s(保留3位有效数字);小车运动的加速度为________m/s2(保留2位有效数字)。