题目内容

如图所示,在光滑的水平面上有一平板小车M正以速度v向右运动.现将一质量为m的木块无初速地放上小车,由于木块和小车间的摩擦力的作用,小车的速度将发生变化.为使小车保持原有的速度不变,必须及时对小车施加一向右的水平恒力F.当F作用一段时间后把它撤去时,木块恰能随小车一起以速度v共同向右运动,设木块和小车间的摩擦因数为μ,求在上述过程中,水平恒力F对小车做多少功?

答案:
解析:

  解:木块放上小车后做匀加速运动至与小车达到共同速度v

  对木块 

  木块达到v所需时间 

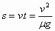
  这段时间内小车的位移 

  ∴


练习册系列答案
相关题目

违法和不良信息举报电话:027-86699610 举报邮箱:58377363@163.com

精英家教网