题目内容

在月球表面如以初速度v0竖直上抛一个小球,则经过时间t落回到抛出点,如以某一初速水平抛出该小球,要使小球不落回月球表面而围绕月球做匀速圆周运动,这个水平速度至少为多少?已知月球的半径为R

答案:
解析:

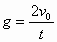
  解:设月球表面的重力加速度为g 则   4分

  速度最小时:  4分

  则  2分

    2分


练习册系列答案
相关题目

违法和不良信息举报电话:027-86699610 举报邮箱:58377363@163.com

精英家教网