题目内容
关于第一宇宙速度下列说法正确的是( )A.它是人造地球卫星绕地球飞行的最小速度
B.它是近地圆形轨道上人造卫星的运行速度
C.它是人造地球同步卫星绕地球飞行的速度
D.它是人造地球卫星的最大发射速度
【答案】分析:本题主要考查第一宇宙速度与地球人造卫星的运行速度、发射速度的关系,根据公式
和
来确定轨道半径和运行速度的关系.
解答:解:第一宇宙速度是人造地球卫星紧贴地球表面做圆周运动的速度.
根据
得v=
故轨道半径越大,运行速度越小.
故第一宇宙速度是人造地球卫星绕地球飞行的最大速度.
故A错误B正确.
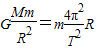
根据
故T=
可得紧贴地面运动的卫星的周期T=5077.58s=84.6min<24h
故同步卫星的轨道半径远大于地球半径.
故同步卫星绕地球飞行的速度小于第一宇宙速度.
故C错误.
轨道半径越大,卫星的机械能越大,故发射速度越大.
所以第一宇宙速度是人造地球卫星的最小发射速度.
故D错误.
故选B.
点评:本题是万有引力与航天方面的难题,是高考的重点,要真正理解.
解答:解:第一宇宙速度是人造地球卫星紧贴地球表面做圆周运动的速度.
根据
得v=
故轨道半径越大,运行速度越小.
故第一宇宙速度是人造地球卫星绕地球飞行的最大速度.
故A错误B正确.
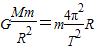
根据
故T=
可得紧贴地面运动的卫星的周期T=5077.58s=84.6min<24h
故同步卫星的轨道半径远大于地球半径.
故同步卫星绕地球飞行的速度小于第一宇宙速度.
故C错误.
轨道半径越大,卫星的机械能越大,故发射速度越大.
所以第一宇宙速度是人造地球卫星的最小发射速度.
故D错误.
故选B.
点评:本题是万有引力与航天方面的难题,是高考的重点,要真正理解.
练习册系列答案
相关题目