题目内容
汽车正以10m/s的速度在平直公路上行驶,突然发现正前方有一辆自行车以4m/s的速度作同方向的匀速直线运动,汽车立即关闭油门作加速度大小为6m/s2的匀减速运动,汽车恰好不碰上自行车,求关闭油门时汽车离自行车多远?下面是某同学的二种解法.请判断其解法是否正确并给出正确的解答
解法一:S=(Vt2-V2)/2a
解法二:S=V汽2/2a-V自×V汽/a
=(42-102)/2×(-6)m=100/(2×6)-10×4/6m=5/3m.
【答案】分析:速度相等前,两者的距离逐渐减小,若不相碰,速度相等后,两者的距离逐渐增大,所以恰好不追上的临界情况是速度相等时汽车的位移等于自行车的位移加上开始相距的距离.
解答:解:二种解法都不对.
汽车在关闭油门减速后的一段时间内,其速度大于自行车速度,因此汽车和自行车之间的距离在不断缩小,当这个距离缩小到零时,若汽车的速度减至与自行车相同,则能满足题设的汽车恰好不碰上自行车的条件,所以
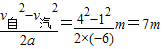
本题要求汽车关闭油门时离自行车距离S,应是汽车从关闭油门减速运动时,直到速度与自行车速度相等时发生的位移S汽与自行车在这段时间内发生的位移S自之差,如图所示汽车减速到4m/s时发生的位移和运动的时间:
S汽
t=
这段时间内自行车发生的位移:
S自=V自×t=4×1m=4m
汽车关闭油门时离自行车的距离:
S=S汽-S自=7-4=3m
答:关闭油门时汽车离自行车3m.
点评:本题是运动学的临界问题,知道速度大者减速追速度小者,若追不上,则速度相等时有最小距离,恰好不相碰的临界情况是速度相等时恰好追上.
解答:解:二种解法都不对.
汽车在关闭油门减速后的一段时间内,其速度大于自行车速度,因此汽车和自行车之间的距离在不断缩小,当这个距离缩小到零时,若汽车的速度减至与自行车相同,则能满足题设的汽车恰好不碰上自行车的条件,所以
S汽
t=
这段时间内自行车发生的位移:
S自=V自×t=4×1m=4m
汽车关闭油门时离自行车的距离:
S=S汽-S自=7-4=3m
答:关闭油门时汽车离自行车3m.
点评:本题是运动学的临界问题,知道速度大者减速追速度小者,若追不上,则速度相等时有最小距离,恰好不相碰的临界情况是速度相等时恰好追上.
练习册系列答案
相关题目