题目内容

如图所示,矩形区域I和II内分别存在方向垂直于纸面向外和向里的匀强磁场(AA′、BB′、CC′、DD′为磁场边界,四者相互平行),磁感应强度大小均为B,矩形区域的长度足够长,两磁场宽度及BB′与CC′之间的距离均相同。某种带正电的粒子从AA′上O1处以大小不同的速度沿与O1A成α=30°角进入磁场(如图所示,不计粒子所受重力),当粒子的速度小于某一值时,粒子存区域I内的运动时间均为t0.当速度为v0时,粒子在区域I内的运动时间为t0/5。求:

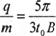
(1)粒子的比荷q/m

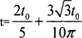
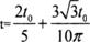
(2)磁场区域I和II的宽度d

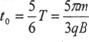
(3)速度为v0的粒子从Ol到DD′所用的时间。

 

 

 

 

【答案】

(1)

(2)

(3) w_w w.

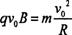
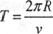
【解析】解:(1)若速度小于某一值时粒子不能从BB′离开区域I,只能从AA′边离开区域I。则无论粒子速度大小,在区域I中运动的时间相同。轨迹如图所示(图中只画了一个粒子的轨迹)。则粒子在区域I内做圆周运动的圆心角为φ=300°,由

           得:粒子做圆周运动的周期

   解得:

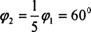
(2)速度为v0时粒子在区域I内运动时间为t0/5,设轨迹所对圆心角为φ2。由

  得:

所以其圆心在BB′上,穿出BB′时速度方向与BB′垂直,其轨迹如图所示,设轨道半径为R,由得:  

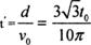
(3)区域I、II宽度相同,则粒子在区域I、II中运动时间均为t0/5,穿过中间无磁场区域的时间为

 则粒子从O1到DD′所用的时间w_w w.

 

练习册系列答案
相关题目

违法和不良信息举报电话:027-86699610 举报邮箱:58377363@163.com

精英家教网