题目内容
下列说法中错误的是( )A.卢瑟福通过实验发现了质子的核反应方程为
B.铀核裂变的核反应是:
C.质子、中子、α粒子的质量分别为m1、m2、m3,质子和中子结合成一个α粒子,释放的能量是(2m1+2m2-m3)c2
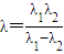
D.原子从a能级状态跃迁到b能级状态时发射波长为λ1,的光子;原子从b能级状态跃迁到c能级状态时吸收波长为λ2的光子,已知λ1>λ2,那么原子从a能级状态跃迁到c能级状态时将要吸收波长为
【答案】分析:A、卢瑟福通过α粒子轰击氮核发现了质子;
B、铀核裂变是用一个中子去轰击铀核,产生3个中子,写核反应方程式时,反应前的中子和反应后的中子不能约去;C、根据质能方程,通过质量亏损求出释放的能量;
D、根据Em-En=h
进行分析.
解答:解:(1)A、卢瑟福通过α粒子轰击氮核得到质子,根据电荷数守恒、质量守恒,知方程式正确.故A正确.
B、铀核裂变的核反应是用一个中子轰击铀核得到三个中子,但是方程式中中子不能约去.故B错误.
C、2个质子和2个中子结合成1个α粒子,根据质能方程知,△E=△mc2=(2m1+2m2-m3)c2.故C正确.
D、原子从a能级状态跃迁到b能级状态时发射波长为λ1的光子,知ac能级差
,原子从b能级状态跃迁到c能级状态时吸收波长为λ2的光子,知cb间能级差
,因为λ1>λ2,则从a能级状态跃迁到c能级需吸收光子,有
,解得
.故D正确.
本题选错误的,故选B.
点评:本题考查了能级、重核裂变、动量守恒定律和能量守恒定律等知识点,难度中等,关键要熟悉能级、裂变等基本知识点,
B、铀核裂变是用一个中子去轰击铀核,产生3个中子,写核反应方程式时,反应前的中子和反应后的中子不能约去;C、根据质能方程,通过质量亏损求出释放的能量;
D、根据Em-En=h
解答:解:(1)A、卢瑟福通过α粒子轰击氮核得到质子,根据电荷数守恒、质量守恒,知方程式正确.故A正确.
B、铀核裂变的核反应是用一个中子轰击铀核得到三个中子,但是方程式中中子不能约去.故B错误.
C、2个质子和2个中子结合成1个α粒子,根据质能方程知,△E=△mc2=(2m1+2m2-m3)c2.故C正确.
D、原子从a能级状态跃迁到b能级状态时发射波长为λ1的光子,知ac能级差
本题选错误的,故选B.
点评:本题考查了能级、重核裂变、动量守恒定律和能量守恒定律等知识点,难度中等,关键要熟悉能级、裂变等基本知识点,
练习册系列答案
相关题目