题目内容

(18分)如图所示,平面直角坐标系中,在第二象限内有竖直放置的两平行金属板,其中右板开有小孔;在第一象限内存在内、外半径分别为、R的半圆形区域,其圆心与小孔的连线与x轴平行,该区域内有磁感应强度为B的匀强磁场,磁场的方向垂直纸面向里:在区域内有电场强度为E的匀强电场,方向与x轴负方向的夹角为60°。一个质量为m,带电量为-q的粒子(不计重力),从左金属板由静止开始经过加速后,进入第一象限的匀强磁场。求

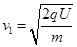
(1)若两金属板间的电压为U,粒子离开金属板进入磁场时的速度是多少:

(2)若粒子在磁场中运动时,刚好不能进入的中心区域,此情形下粒子在磁场中运动的速度大小。

(3)在(2)情形下,粒子运动到的区域,它第一次在匀强电场中运动的时间。

 

【答案】

(1)  (2)   (3)

【解析】

试题分析:

(1)粒子离开金属板进入磁场时的速度,由动能定理:

(2分)

(1分)

(2)粒子在磁场中运动,刚好不能进入的中心区域,既轨迹和磁场内圆相切,设粒子速度为,做圆周运动半径为r,由几何关系:

(1分)

   (1分)

解得(2分)

(2分)

粒子在磁场运动:

(2分)

解得(1分)

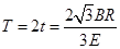
(3)粒子进入的区域,沿电场线方向做减速运动,速度减少到零时间为t,则

(2分)

(2分)

(1分)

粒子第一次在匀强电场中的运动时间(1分)

考点:考查了带电粒子在电场、磁场中的运动规律以及用数学解决物理问题的能力。

 

练习册系列答案
相关题目

违法和不良信息举报电话:027-86699610 举报邮箱:58377363@163.com

精英家教网