题目内容
(1)经过P板时的速度υ?
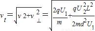
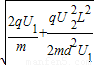
(2)飞出偏转电场时的速率υt?
(3)电子最终到达距离偏向板为R的荧光屏上的O′点,此点偏离入射方向的距离Y是多少?
【答案】分析:(1)电子在阳极P和阴极K间运动时,电场力对电子做正功,动能增加,根据动能定理求解电子通过阳极P板的速度υ.
(2)电子通过偏转电极时做类平抛运动,运用运动的分解:电子沿水平方向做匀速直线运动,竖直方向做匀加速直线运动.
根据牛顿第二定律和运动规律求出电子运动的加速度和电子离开偏向板时沿场强方向的分速度.最后根据速度的合成求出电子出电场时的速度.
(3)根据速度的分解,求出电子离开偏向板时偏转角的正切,根据几何知识求解.
解答:解:(1)电子在阳极P和阴极K间运动,由根据动能定理得
,

(2)电子运动的加速度:
,
电子沿板的方向做匀速直线运动,则电子在板间运动的时间:
,
∴电子离开偏向板时沿场强方向的分速度
,
电子出电场时的速度为
(3)电子出电场中的偏向角满足
电子可以看成是从极板中点飞出,
故
答:(1)经过P板时的速度是
(2)飞出偏转电场时的速率
(3)电子最终到达距离偏向板为R的荧光屏上的O′点,此点偏离入射方向的距离Y是
.
点评:本题是电场中基本题型:先加速后偏转问题,采用的是力学方法,关键是分析电荷的受力情况和运动情况.
(2)电子通过偏转电极时做类平抛运动,运用运动的分解:电子沿水平方向做匀速直线运动,竖直方向做匀加速直线运动.
根据牛顿第二定律和运动规律求出电子运动的加速度和电子离开偏向板时沿场强方向的分速度.最后根据速度的合成求出电子出电场时的速度.
(3)根据速度的分解,求出电子离开偏向板时偏转角的正切,根据几何知识求解.
解答:解:(1)电子在阳极P和阴极K间运动,由根据动能定理得
(2)电子运动的加速度:
电子沿板的方向做匀速直线运动,则电子在板间运动的时间:
∴电子离开偏向板时沿场强方向的分速度
电子出电场时的速度为
(3)电子出电场中的偏向角满足
电子可以看成是从极板中点飞出,
故
答:(1)经过P板时的速度是
(2)飞出偏转电场时的速率
(3)电子最终到达距离偏向板为R的荧光屏上的O′点,此点偏离入射方向的距离Y是
点评:本题是电场中基本题型:先加速后偏转问题,采用的是力学方法,关键是分析电荷的受力情况和运动情况.
练习册系列答案
相关题目