题目内容

如图所示为粮食仓库中常用的皮带传输装置示意图,它由两台皮带传送机组成,一台水平传送,A、B两端相距;另一台倾斜传送,传送带与地面间的倾角,C、D两端相距,B、C相距很近。水平传送带以沿顺时针方向转动。现将质量为的一袋大米无初速度的放在A端,它随传送带到达B点后,速度大小不变的传到倾斜传送带的C端。米袋与两传送带之间的动摩擦因素均为,取

(1)若倾斜传送带CD不转动,则米袋沿传送带CD所能上滑的最大距离是多少?

(2)若倾斜传送带CD以的速率沿顺时针方向转动,则米袋从C端运动到D端的时间为多少?

 

【答案】

(1) 1.25m  (2)2.1s

【解析】

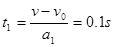
试题分析:(1)米袋在AB上加速运动的加速度为:  

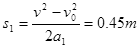
米袋速度达到时滑过的距离:

故米袋先加速一段时间后再与传送带一起匀速运动,到达C端速度为

设米袋在CD上传送的加速度大小为,根据牛顿第二定律得:

解得:

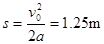
所以能在CD上滑的最大距离:

(2)CD顺时针转动时,米袋速度减为之前的加速度为: 

此时上滑的距离:     

米袋速度达到后,由于,米袋继续减速上滑  

其加速度为:

减速到零时上滑的距离 

,即速度为零时刚好到D端

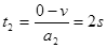
减速为所用时间: 

减速为0所用时间: 

故米袋从C到D的总时间 :

考点:牛顿第二定律及应用

 

练习册系列答案
相关题目

违法和不良信息举报电话:027-86699610 举报邮箱:58377363@163.com

精英家教网