题目内容

如图所示,传送带与地面之间的夹角为,AB长为16m,传送带以的速度匀速运动.在传送带上端A无初速释放一个质量为0.5kg的物体,它与传送带之间的动摩擦因数μ=0.5,求:

(1)物体从A运动到B所用的时间;

(2)物体从A运动到B的过程中,摩擦力对物体所做的功.(g取)

答案:2s,-12J
解析:

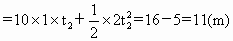
((1)当物体下滑的速度小于皮带运行速度时,物体的加速度为(此时滑动磨擦力沿斜面向下)则:

当物体下滑的速度大于传送带速度v=10m/s时,物体此时的加速度为(此时滑运磨擦力沿斜面向下)则:

解得:舍去

所以

(2)

)


练习册系列答案
相关题目

违法和不良信息举报电话:027-86699610 举报邮箱:58377363@163.com

精英家教网