题目内容

“和平号”空间站已于2001年3月23日成功地坠落在南太平洋海域,坠落过程可简化为从一个近圆轨道(可近似地看作圆轨道)开始,经过与大气摩擦,空间站的绝大部分经过升温、熔化,最后汽化而销毁,剩下的残片坠入大海.此过程中,空间站原来的机械能中,除一部分用于销毁和一部分被残片带走外,还有一部分能量通过其他方式散失(不考虑坠落过程中化学反应的能量).(1)试导出以下列各物理量的符号表示散失能量的公式.(2)算出的数值(结果保留两位有效数字).

坠落开始时间站的质量

轨道离地面的高度为h=146km;

地球半径

坠落空间范围内重力加速度可看做

入海残片的质量

入海残片的温度升高ΔT=3000K;

入海残片的入海速度为声速v=340m/s;

空间站材料每1kg升温1K平均所需能量

每销毁1kg材料平均所需能量

答案:略
解析:

(1)

(2)

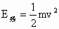
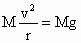
(1)根据题给条件,从近圆轨道列地面的空间中重力加速度.若以地面为重力势能零点,坠落过程开始时空间站在近圆轨道的势能为

  ①

v表示空间站在近圆轨道上的速度,由牛顿定律可得  ②

其中r为轨道半径.R表示地球半径,则

r=Rh  ③

由②③两式可得空间站在近圆轨道上的动能为

  ④

由①④两式得,在近圆轨道上空间站的机械能

  ⑤

在坠落过程中,用于销毁部分所需的能量为

  ⑥

用于残片升温所需的能量

  ⑦

残片入海时的动能为  ⑧

表示其他方式散失的能量,则由能量守恒得

  ⑨

将⑤⑥⑦⑧式代入⑨式整理得

  ⑩

(2)将题目所给的数据代入⑩式解得

题目提供了很多已知数据,作了某些简化(从圆轨道开始坠落,不考虑化学反应能量),也还原了实际(与大气摩擦),指明能量分配途径,是一道典型的用能量守恒定律求解的题,因为题中涉及多种能量,能用下列表达式进行分析,就一目了然了.


练习册系列答案
相关题目

违法和不良信息举报电话:027-86699610 举报邮箱:58377363@163.com

精英家教网