ÌâÄ¿ÄÚÈÝ
£¨1£©ÒÔÏÂ˵·¨ÕýÈ·µÄÓÐ______A£®×ÏÍâÏßÕÕÉäµ½½ðÊôп°å±íÃæÊ±Äܹ»·¢Éú¹âµçЧӦÏÖÏó£¬Ôòµ±Ôö´ó×ÏÍâÏßµÄÕÕÉäÇ¿¶Èʱ£¬´Óп°å±íÃæÒݳöµÄ¹âµç×ÓµÄ×î´ó³õ¶¯ÄÜÒ²ËæÖ®Ôö´ó
B£®ÇâÔ×ӵĺËÍâµç×ÓÓɽϸßÄܼ¶Ô¾Ç¨µ½½ÏµÍÄܼ¶Ê±£¬ÒªÎüÊÕÒ»¶¨ÆµÂʵĹâ×Ó£¬Í¬Ê±µç×ӵ͝ÄܼõС£¬µçÊÆÄܼõС
C£®ºË×Ó½áºÏ³ÉÔ×ÓºËÒ»¶¨ÓÐÖÊÁ¿¿÷Ëð£¬ÊͷųöÄÜÁ¿
D£®Ì«ÑôÄÚ²¿·¢ÉúµÄºË·´Ó¦Ö÷ÒªÊǺËÁѱ䷴Ӧ
£¨2£©ÖÊÁ¿·Ö±ðΪm1ºÍm2µÄÁ½¸öСÇòÔڹ⻬µÄË®Æ½ÃæÉÏ·Ö±ðÒÔËÙ¶Èv1¡¢v2ͬÏòÔ˶¯²¢·¢Éú¶ÔÐÄÅöײ£¬Åöºóm2±»ÓÒ²àµÄǽÔËÙµ¯»Ø£¬ÓÖÓëm1ÏàÅö£¬ÅöºóÁ½Çò¶¼¾²Ö¹£®ÇóµÚÒ»´ÎÅöºóm1ÇòµÄËÙ¶È£®
¡¾´ð°¸¡¿·ÖÎö£º£¨1£©ÕýÈ·½â´ð±¾ÌâÐèÒªÕÆÎÕ£ºÀí½â°®Òò˹̹µÄ¹âµç·½³Ì£¬Ã÷È·¹âµçÁ÷ºÍ¹âµç×ÓµÄ×î´ó³õ¶¯ÄÜÓëÄÇЩÒòËØÓйأ»µç×Ó¹ìµÀ°ë¾¶ÓëÆä¶¯ÄÜ¡¢µçÊÆÄܵÈÖ®¼äµÄ¹ØÏµ£»Á˽â½áºÏÄÜ¡¢¾Û±ä¡¢Áѱ䷴ӦµÈ»ù´¡Ô×ÓÎïÀí֪ʶ£®
£¨2£©¿¼²éÅöײ¹ý³ÌÊÇ·ñ·¢Éú×¥Èý·½Ãæ¢ÙÅöײ¹ý³Ì×ñ´Ó¶¯Á¿Êغ㶨ÂÉm1v1+m2v2=m1v'1+m2v'2£»¢ÚÅöײºóϵͳ¶¯Äܲ»ÔöÔÔò
£»¢ÛÅöײǰºóµÄÔ˶¯Çé¿öÒªºÏÀí£¬Èç×·Åöºó£¬Ç°Çò¶¯Á¿²»ÄܼõС£¬ºóÇò¶¯Á¿ÔÚÔ·½ÏòÉϲ»ÄÜÔö¼Ó£»×·Åöºó£¬ºóÇòÔÚÔ·½ÏòµÄËٶȲ»¿ÉÄÜ´óÓÚǰÇòµÄËÙ¶È£®
½â´ð£º½â£º£¨1£©A¡¢Óɰ®Òò˹̹µÄ¹âµç·½³ÌEk=hv-W£¬¹âµç×ÓµÄ×î´ó³õ¶¯Äܸú¹âÕÕÇ¿¶ÈÎ޹أ¬¾ö¶¨ÓÚ¹â×ӵįµÂʺͽðÊôµÄÒݳö¹¦£¬¹ÊAÏî´í£»
B¡¢ÇâÔ×ӵĺËÍâµç×ÓÓɽϸßÄܼ¶Ô¾Ç¨µ½½ÏµÍÄܼ¶Ê±£¬Òª·Å³öÒ»¶¨ÆµÂʵĹâ×Ó£¬Í¬Ê±µç×ӵ͝ÄÜÔö´ó£¬µçÊÆÄܼõС£¬¹ÊBÏî´í£»
C¡¢ºË×Ó½áºÏ³ÉÔ×ÓºËÒ»¶¨ÓÐÖÊÁ¿¿÷Ë𣬸ù¾ÝÖÊÄÜ·½³Ì¿ÉÖª£¬ËðʧµÄÖÊÁ¿×ª»¯ÎªÄÜÁ¿·Å³ö£¬¹ÊCÕýÈ·£»
D¡¢Ì«ÑôÄÚ²¿µÄºË·´Ó¦Ö÷ÒªÊǾ۱䷴Ӧ£¬¹ÊDÏî´í£®
¹ÊÑ¡C£®
£¨2£©¸ù¾Ý¶¯Á¿¶¨ºã¶¨ÂÉÓУº
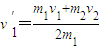
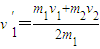
¢Ù
¢Ú
ÁªÁ¢¢Ù¢Ú½âµÃ£º
´ð£ºµÚÒ»´ÎÅöºóm1ÇòµÄËÙ¶ÈΪ£º
£®
µãÆÀ£º£¨1£©¸ÃÌ⿼²éÁËÔ×ÓÎïÀíÖеĻù´¡ÖªÊ¶£¬¶ÔÓÚÕⲿ·Ö֪ʶҪעÒâÆ½Ê±¶à¼Ó¼ÇÒäºÍ»ýÀÛ£®
£¨2£©±¾Ì⿼²éÅöײÎÊÌ⣬ץÅöײ¹ý³ÌÖе͝Á¿ÊغãÁз½³Ì£¬ÁªÏµ·½³ÌÇó½â£¬Í»³öÎïÀíѧÖеij£½â³£·¨µÄ¿¼²é£¬²»Æ«²»¹Ö£®
£¨2£©¿¼²éÅöײ¹ý³ÌÊÇ·ñ·¢Éú×¥Èý·½Ãæ¢ÙÅöײ¹ý³Ì×ñ´Ó¶¯Á¿Êغ㶨ÂÉm1v1+m2v2=m1v'1+m2v'2£»¢ÚÅöײºóϵͳ¶¯Äܲ»ÔöÔÔò
½â´ð£º½â£º£¨1£©A¡¢Óɰ®Òò˹̹µÄ¹âµç·½³ÌEk=hv-W£¬¹âµç×ÓµÄ×î´ó³õ¶¯Äܸú¹âÕÕÇ¿¶ÈÎ޹أ¬¾ö¶¨ÓÚ¹â×ӵįµÂʺͽðÊôµÄÒݳö¹¦£¬¹ÊAÏî´í£»
B¡¢ÇâÔ×ӵĺËÍâµç×ÓÓɽϸßÄܼ¶Ô¾Ç¨µ½½ÏµÍÄܼ¶Ê±£¬Òª·Å³öÒ»¶¨ÆµÂʵĹâ×Ó£¬Í¬Ê±µç×ӵ͝ÄÜÔö´ó£¬µçÊÆÄܼõС£¬¹ÊBÏî´í£»
C¡¢ºË×Ó½áºÏ³ÉÔ×ÓºËÒ»¶¨ÓÐÖÊÁ¿¿÷Ë𣬸ù¾ÝÖÊÄÜ·½³Ì¿ÉÖª£¬ËðʧµÄÖÊÁ¿×ª»¯ÎªÄÜÁ¿·Å³ö£¬¹ÊCÕýÈ·£»
D¡¢Ì«ÑôÄÚ²¿µÄºË·´Ó¦Ö÷ÒªÊǾ۱䷴Ӧ£¬¹ÊDÏî´í£®
¹ÊÑ¡C£®
£¨2£©¸ù¾Ý¶¯Á¿¶¨ºã¶¨ÂÉÓУº
ÁªÁ¢¢Ù¢Ú½âµÃ£º
´ð£ºµÚÒ»´ÎÅöºóm1ÇòµÄËÙ¶ÈΪ£º
µãÆÀ£º£¨1£©¸ÃÌ⿼²éÁËÔ×ÓÎïÀíÖеĻù´¡ÖªÊ¶£¬¶ÔÓÚÕⲿ·Ö֪ʶҪעÒâÆ½Ê±¶à¼Ó¼ÇÒäºÍ»ýÀÛ£®
£¨2£©±¾Ì⿼²éÅöײÎÊÌ⣬ץÅöײ¹ý³ÌÖе͝Á¿ÊغãÁз½³Ì£¬ÁªÏµ·½³ÌÇó½â£¬Í»³öÎïÀíѧÖеij£½â³£·¨µÄ¿¼²é£¬²»Æ«²»¹Ö£®
Á·Ï°²áϵÁдð°¸
Ïà¹ØÌâÄ¿