题目内容
现要测量某一电流表的内阻r1.给定器材有:A.待测电流表A(量程300μA,内阻r1约为100Ω)
B.电压表V(量程3V,内阻r2=1kΩ)
C.电源E(电动势约4V,内阻忽略不计)
D.定值电阻R1=10Ω
E.滑动变阻器R2(阻值范围0~20Ω,允许通过的最大电流2.0A)
F.开关S,导线若干
要求测量时两电表指针的偏转均超过其量程的一半.
(1)在方框中画出测量电路原理图.
(2)电路接通后,测得电压表读数为U,电流表读数为I,用已知和测得的物理量表示电流表内阻r1=______.
【答案】分析:(1)要测电流表内阻,需要测出电流表两端电压与通过电流表的电流;根据所给实验数据,应用欧姆定律进行计算,然后按照题目要求设计实验电路,作出电路图.
(2)根据串并联电路特点,应用欧姆定律求出电流表阻值.
解答:解:(1)如果把滑动变阻器、定值电阻、电流表串连接入电路,电路最小电流:
I=
=
,大于大于电流表量程,
因此不能采用串联的方法,可以把电流表与定值电阻并联,然后与电压表串联,
为了进行多次测量,滑动变阻器可以采用分压接法,实验电路图如图所示;
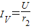
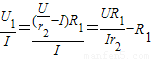
②通过电压表的电流
,通过定值电阻R1的电流I1=
.
电阻R1两端电压U1=
,电流表与电阻R1并联,它们两端电压相等,
电流表内阻r1=
.
故答案为:(1)如图所示.

(2)
-R1.
点评:本题考查了实验电路设计、求电阻等问题,实验设计难度较大,对学生的实验能力要求较高,是本题的难点.
(2)根据串并联电路特点,应用欧姆定律求出电流表阻值.
解答:解:(1)如果把滑动变阻器、定值电阻、电流表串连接入电路,电路最小电流:
I=
因此不能采用串联的方法,可以把电流表与定值电阻并联,然后与电压表串联,
为了进行多次测量,滑动变阻器可以采用分压接法,实验电路图如图所示;
②通过电压表的电流
电阻R1两端电压U1=
电流表内阻r1=
故答案为:(1)如图所示.
(2)
点评:本题考查了实验电路设计、求电阻等问题,实验设计难度较大,对学生的实验能力要求较高,是本题的难点.
练习册系列答案
相关题目