题目内容

物体以20 m/s的初速度水平抛出,则经过________s后,水平分位移和竖直分位移相等;经过________s后,水平分速度和竖直分速度相等.

答案:42
解析:

  由平抛运动的规律,有:

  x=v0t

  y=gt2

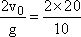
  而由题设条件知x=y时,t=s=4 s

  vy,由题设条件,vy=v0,所以=2 s.


练习册系列答案
相关题目

违法和不良信息举报电话:027-86699610 举报邮箱:58377363@163.com

精英家教网