题目内容

额定功率为80kW的汽车,在某平直的公路上行驶的最大速度为20m/s,汽车的质量.如果汽车从静止开始做匀加速直线运动,加速度大小为,运动过程中阻力恒定.求

(1)汽车所受的恒定阻力是多大?

(2)2s末汽车的瞬时功率多大?

(3)匀加速直线运动的时间多长?

(4)在匀加速直线运动中,汽车的牵引力做的功多大?

答案:略
解析:

(1)(2)(3)5s(4)

(1)时,速度最大,所以,根据

(2)根据牛顿第二定律得

根据瞬时功率计算式,得

所以由式①、式②得

(3)根据P=Fv可知,随v的增加,直到功率等于额定功率时,汽车完成整个匀速直线运动过程,所以            

将式①代入式③得

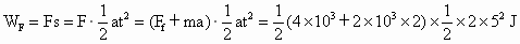
(4)根据功的计算式得


练习册系列答案
相关题目

违法和不良信息举报电话:027-86699610 举报邮箱:58377363@163.com

精英家教网