题目内容

一辆汽车以72 km/h的速度在平直公路上行驶,现因故紧急刹车,已知汽车刹车过程中加速的的大小始终为5 m/s2,求

(1)汽车刹车3 s末的速度;

(2)汽车通过30 m所需要的时间;

(3)汽车从开始刹车到6 s末所通过的位移

答案:
解析:

  (1)(2分)规定汽车初速度的方向为正方向,由已知条件可得

  V0=72 km/h=20 m/s a=-5 m/s2

  所以,汽车刹车后3 s末的速度V=V0+at=20 m/s+(-5 m/s2×3 s)=5 m/s

  (2)(3分)方法一:

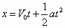
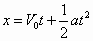
  由代入数据可得一元二次方程,求解方程可得

  t1=2 s,t2=6 s(不合,舍去)(要说明不合理由,否则扣1分)

  方法二:由V2-V02=2ax可得,代入数据可求V=10 m/s

  再由V=V0+at可得=2 s

  (3)由V=V0+at变形可以得到,代入数据可以求得汽车从刹车到停止运动的时间t=4 s,也就是说,从4 s末到6 s末,汽车已经停止运动,所以汽车整个刹车过程的运动时间为4 s,(2分)

  方法一:由代入数据可以求得x=40 m

  方法二:由V2-V02=2ax得,代入数据得x=40 m(2分)


练习册系列答案
相关题目

违法和不良信息举报电话:027-86699610 举报邮箱:58377363@163.com

精英家教网