题目内容
如图所示,在非常高的光滑、绝缘水平高台边缘,静置一个不带电的小金属块B,另有一与B完全相同的带电量为+q的小金属块A以初速度v向B运动,A、B的质量均为m.A与B相碰撞后,两物块立即粘在一起,并从台上飞出.已知在高台边缘的右面空间中存在水平向左的匀强电场,场强大小E=2mg/q.求:(1)A、B一起运动过程中距高台边缘的最大水平距离
(2)A、B运动过程的最小速度为多大
(3)从开始到A、B运动到距高台边缘最大水平距离的过程A损失的机械能为多大?
【答案】分析:(1)由动量守恒定律列出等式,根据运动学公式求出距高台边缘的最大水平距离
(2)根据运动学公式求出A、B运动过程的最小速度
(3)根据能量守恒定律求出损失的机械能.
解答:解:由动量守恒定律:mυ=2mυ ①
碰后水平方向:qE=2ma ②
又∵E=
③
(1)设水平方向运动距离Xm得:-2aXm=0-υ2 ④
由①、②、③、④解得:xm=
⑤
(2)在t时刻,A、B的水平方向的速度为:
vm=v-at=
-gt ⑥
在t时刻,A、B竖直方向的速度为:
υγ=gt ⑦
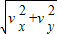
合速度为:v合=
⑧
由⑥、⑦、⑧解得υ合的最小值:vmin=
v
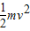
(3)碰撞过程中A损失的机械能:△E1=
-
=
m
⑨
碰后到距高台边缘最大水平距离的过程中A损失的机械能:
△E2=
qExm=
m
⑩
由⑨、⑩可知,从开始到A、B运动到距离高台边缘最大水平距离的过程中A损失的机械能为:
△E=
答:(1)A、B一起运动过程中距高台边缘的最大水平距离是
(2)A、B运动过程的最小速度为
v
(3)从开始到A、B运动到距高台边缘最大水平距离的过程A损失的机械能为
点评:分析清楚物体的运动过程越运动性质,应用能量守恒定律、动量守恒定律、运动学公式即可正确解题.
(2)根据运动学公式求出A、B运动过程的最小速度
(3)根据能量守恒定律求出损失的机械能.
解答:解:由动量守恒定律:mυ=2mυ ①
碰后水平方向:qE=2ma ②
又∵E=
(1)设水平方向运动距离Xm得:-2aXm=0-υ2 ④
由①、②、③、④解得:xm=
(2)在t时刻,A、B的水平方向的速度为:
vm=v-at=
在t时刻,A、B竖直方向的速度为:
υγ=gt ⑦
合速度为:v合=
由⑥、⑦、⑧解得υ合的最小值:vmin=
(3)碰撞过程中A损失的机械能:△E1=
碰后到距高台边缘最大水平距离的过程中A损失的机械能:
△E2=
由⑨、⑩可知,从开始到A、B运动到距离高台边缘最大水平距离的过程中A损失的机械能为:
△E=
答:(1)A、B一起运动过程中距高台边缘的最大水平距离是
(2)A、B运动过程的最小速度为
(3)从开始到A、B运动到距高台边缘最大水平距离的过程A损失的机械能为
点评:分析清楚物体的运动过程越运动性质,应用能量守恒定律、动量守恒定律、运动学公式即可正确解题.
练习册系列答案
相关题目