题目内容
如图所示,倾角θ=37°的传送带上,上、下两端相距S=7m.当传送带以u=4m/s的恒定速率顺时针转动时,将一个与传送带间动摩擦因数μ=0.25的物块P轻放于A端,P从A端运动到B端所需的时间是多少?
【答案】分析:滑块刚放上传送带时受到重力、支持力和沿斜面向下的滑动摩擦力,根据牛顿第二定律求解出加速度,再根据运动学公式求解;当滑块速度增大到等于传送带速度后,由于重力的下滑分力大于滑动摩擦力,故物体继续加速下滑,根据牛顿第二定律求出加速度后,再次根据运动学公式列式求出,得到总时间.
解答:解:设P初始下滑的加速度为a1,则有mgsinθ+μmgcosθ=ma1
解得
前一段加速滑下时间
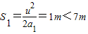
当P加速到u时,P发生的位移
此后P,继续加速下滑,设加速度为a2,
有mgsinθ-μmgcosθ=ma2,所以
根据位移时间关系公式,有
解得后一段加速滑下时间t2=1s
P从A到B总时间t=t1+t2=1.5s
即P从A端运动到B端所需的时间是为1.5s.
点评:本题关键分析清楚小滑块的运动情况,根据牛顿第二定律求解出两段加速过程的加速度,再根据运动学公式列式求解.
解答:解:设P初始下滑的加速度为a1,则有mgsinθ+μmgcosθ=ma1
解得
前一段加速滑下时间
当P加速到u时,P发生的位移
此后P,继续加速下滑,设加速度为a2,
有mgsinθ-μmgcosθ=ma2,所以
根据位移时间关系公式,有
解得后一段加速滑下时间t2=1s
P从A到B总时间t=t1+t2=1.5s
即P从A端运动到B端所需的时间是为1.5s.
点评:本题关键分析清楚小滑块的运动情况,根据牛顿第二定律求解出两段加速过程的加速度,再根据运动学公式列式求解.
练习册系列答案
相关题目