题目内容
如图所示,宽度为d的区域上下分别存在垂直纸面、方向相反、磁感应强度大小均为B的匀强磁场。现有一质量为m、电量为+q的粒子,在纸面内以速度V从此区域下边缘上的A点射入,其方向与下边缘成30°角,试求
(1)粒子从进入上边磁场到第一次穿出上边磁场所需的时间。
(2)V满足什么条件粒子能回到A点。 ![]()
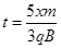
(1) ![]()
(2)
或
(n=0,1,2,3,……)
解析
练习册系列答案
相关题目
题目内容
如图所示,宽度为d的区域上下分别存在垂直纸面、方向相反、磁感应强度大小均为B的匀强磁场。现有一质量为m、电量为+q的粒子,在纸面内以速度V从此区域下边缘上的A点射入,其方向与下边缘成30°角,试求
(1)粒子从进入上边磁场到第一次穿出上边磁场所需的时间。
(2)V满足什么条件粒子能回到A点。 ![]()
(1) ![]()
(2)
或
(n=0,1,2,3,……)
解析