题目内容

如图所示,位于竖直平面内的固定光滑圆环轨道与水平面相切于M点,与竖直墙相切于A点,竖直墙上另一点B与M的连线和水平面的夹角为60°,C是圆环轨道的圆心,已知在同一时刻,甲、乙两球分别由A、B两点从静止开始沿光滑倾斜直轨道AM、BM运动到M点,丙球由C点自由下落到M点,有关下列说法正确的是( )
A.甲球下滑的加速度大于乙球下滑的加速度
B.丙球最先到达M点
C.甲、乙、丙球同时到达M点
D.甲、丙两球到达M点时的速率相等
【答案】分析:根据几何关系分别求出各个轨道的位移,根据牛顿第二定律求出加速度,再根据匀变速直线运动的位移时间公式求出运动的时间,从而比较出到达M点的先后顺序.
解答:解:A、设光滑倾斜轨道与水平面的夹角为θ,则加速度a=,可知乙球的加速度大于甲球的加速度.故A错误.
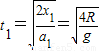
B、对于AM段,位移x1=,加速度,则根据得,
对于BM段,位移x2=2R,加速度a2=gsin60°=,t2==
对于CM段,位移x3=R,加速度a3=g,则.知t3最小,故B正确,C错误.
D、根据动能定理得,mgh=,知甲丙高度相同,则到达M的速率相等.故D正确.
故选BD.
点评:解决本题的关键根据牛顿第二定律求出各段的加速度,运用匀变速直线运动的位移时间公式进行求解.
练习册系列答案
相关题目

违法和不良信息举报电话:027-86699610 举报邮箱:58377363@163.com

精英家教网