题目内容
如图所示,这个装置可以作为火灾报警器使用:试管中装入水银,当温度升高时,水银柱上升,使电路导通,蜂鸣器发出响声.27℃时,空气柱长度L1为20cm,水银上表面距离导线L2为10cm,管内水银柱的高度h为8cm,大气压强75厘米汞柱,则当温度达到多少摄氏度,报警器会报警?如果要使该装置在87摄氏度报警,则应该再往玻璃管内注入多少厘米高的汞柱?如果大气压增大,则报警温度会受到怎样的影响?
【答案】分析:封闭的气体做等压变化,分别找出气体初末状态的状态参量,应用理想气体状态方程便可求解出报警温度.反之已知报警温度同样可以求出封闭气体的压强,根据封闭气体的压强可知应再向下班管中注入多少厘米汞柱.根据理想气体状态方程可知,当大气压强增大时,封闭气体的压强增大,根据气体状态方程可知,当报警器报警时的温度将比原来设计的温度增加.
解答:解:(1)由题意根据示意图可知,温度变化的过程中封闭气体的压强保持不变,气体做等压变化.
封闭气体的初始状态为:T1=300K,V1=20S,报警时温度为T2,体积V2=30S
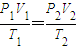
根据盖?吕萨克定律有:

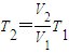
得
=
即:t2=177℃
(2)若装置在87℃时报警此时需向玻璃管中注入h厘米汞柱,则此时封闭气体的压强为:(83+h)厘米汞柱,温度:T3=360K,封闭气体的体积:(30-h)S
开始时封闭气体的压强为:83厘米汞柱,温度T1=300K,封闭气体的体积为:V1=20S
根据理想气体状态方程有:

代入数据解得h=8.14cm
(3)因为大气压增大后,封闭气体压强将相应增大,根据理想气体状态方程
得使封闭气体膨胀到相应体积则温度将升高,即将使报警温度比原来的设计值偏高.
答:当温度为177℃时报警器会报警,如果要使装置在87℃时报警则需向玻璃管中注入8.14cm高的汞柱,如果大气压强增加,则报警器报警的温度比原先设计的偏高.
点评:气体状态变化可以应用理想气体状态方程求解,本题的关键是找出气体的变化是等压变化.
解答:解:(1)由题意根据示意图可知,温度变化的过程中封闭气体的压强保持不变,气体做等压变化.
封闭气体的初始状态为:T1=300K,V1=20S,报警时温度为T2,体积V2=30S
根据盖?吕萨克定律有:
得
即:t2=177℃
(2)若装置在87℃时报警此时需向玻璃管中注入h厘米汞柱,则此时封闭气体的压强为:(83+h)厘米汞柱,温度:T3=360K,封闭气体的体积:(30-h)S
开始时封闭气体的压强为:83厘米汞柱,温度T1=300K,封闭气体的体积为:V1=20S
根据理想气体状态方程有:
代入数据解得h=8.14cm
(3)因为大气压增大后,封闭气体压强将相应增大,根据理想气体状态方程
答:当温度为177℃时报警器会报警,如果要使装置在87℃时报警则需向玻璃管中注入8.14cm高的汞柱,如果大气压强增加,则报警器报警的温度比原先设计的偏高.
点评:气体状态变化可以应用理想气体状态方程求解,本题的关键是找出气体的变化是等压变化.
练习册系列答案
相关题目
某实验小组设计了如图所示的实验装置探究加速度与力、质量的关系。开始时闭合电键,电磁铁将A、B两个小车吸住,断开电键,两个小车同时在细绳拉力作用下在水平桌面上沿同一直线相向运动。实验中始终保持小车质量远大于托盘和砝码的质量,实验装置中各部分摩擦阻力可忽略不计。
①该小组同学认为,只要测出小车A和B由静止释放到第一次碰撞通过的位移s1、s2,即可得知小车A和B的加速度a1、a2与位移s1、s2的关系。这个关系式可写成( )。
②实验时,该小组同学先保持两小车质量相同且不变,改变左、右托盘内的砝码重力,测量并记录对应拉力下小车A和B通过的位移s1和s2。经过多组数据分析得出了小车运动的加速度与所受拉力的关系。然后他们保持两小车所受的拉力相同且不变,研究小车的加速度与小车质量的关系,此时要改变实验变量是( ),必须测量并记录的物理量是( )(要求对表示物理量的字母做出说明),这些测出并记录的物理量之间的关系式可写成( )。
|
②实验时,该小组同学先保持两小车质量相同且不变,改变左、右托盘内的砝码重力,测量并记录对应拉力下小车A和B通过的位移s1和s2。经过多组数据分析得出了小车运动的加速度与所受拉力的关系。然后他们保持两小车所受的拉力相同且不变,研究小车的加速度与小车质量的关系,此时要改变实验变量是( ),必须测量并记录的物理量是( )(要求对表示物理量的字母做出说明),这些测出并记录的物理量之间的关系式可写成( )。