题目内容
如下图所示,A、B两物体叠放在水平地面上,已知A、B的质量分别为mA=10 kg,mB=20 kg,A、B之间,B与地面之间的动摩擦因数均为μ=0.5.一轻绳一端系住物体A,另一端系于墙上,绳与竖直方向的夹角为37°,今欲用外力将物体B匀速向右拉出,求所加水平力F的大小,并画出A、B的受力分析图.(取g=10 m/s2,sin 37°=0.6,cos 37°=0.8)
![]()
【答案】
160 N
【解析】
试题分析:A、B的受力分析如下图所示.
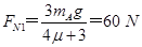
对A应用平衡条件
①
②
![]()
联立①、②两式可得:
![]()
![]()
对B用平衡条件
.
考点:考查了共点力平衡条件的应用
点评:本题是两个物体平衡问题,采用隔离法研究,关键是分析物体的受力情况,作出力图.
练习册系列答案
相关题目
| A、0 | B、μ1mAgcosθ | C、μ2mAgsinθ | D、mAgsinθ |