题目内容
如图甲所示,质量为m、电阻为R的矩形线圈平放在光滑水平面上,矩形线圈ab、bc边分别长为L和2L,足够大的有界匀强磁场垂直于水平面向下,线圈一半在磁场内,另一半在磁场外,磁感强度为B.t=0时刻磁感强度开始均匀减小,线圈中产生感应电流,并在磁场力作用下开始运动,v-t图象如图乙所示,图中斜向虚线为v-t图线上O点的切线,标出的t1、t2、v为已知量.求:(1)t=0时刻线圈的加速度;
(2)磁感强度的变化率;
(3)t2时刻矩形线圈回路的电功率.
【答案】分析:(1)速度时间图线切线的斜率表示瞬时加速度,根据图线斜率求出t=0时刻线圈的加速度.
(2)根据法拉第电磁感应定律结合闭合电路欧姆定律以及安培力的公式求出初始时刻加速度的表达式,从而得出磁感应强度的变化率.
(3)线圈在t2时刻已做匀速直线运动,有两种可能,一种磁感应强度已减小为零,一种磁感应强度不为零,根据法拉第电磁感应定律求出感应电动势的大小,从而求出电功率的大小.
解答:解:(1)因为图线切线的斜率表示加速度,则
(2)根据法拉第电磁感应定律得,
,
根据闭合电路欧姆定律得,
,
安培力F=BIL,F=ma,
得
,
则
.
(3)线圈在t2时刻已做匀速直线运动,有两种可能:
①磁感强度已减为零,所以回路的电功率P=0
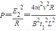
②磁感强度不为零,线圈已完全进入磁场,
,
.
答:(1)t=0时刻线圈的加速度
.
(2)磁感强度的变化率为
.
(3)磁感强度已减为零,则回路的电功率P=0.
磁感强度不为零,
.
点评:本题综合考查了法拉第电磁感应定律、闭合电路欧姆定律以及电磁感应与力学的综合,还考查了学生的读图能力,综合性较强,需加强训练.
(2)根据法拉第电磁感应定律结合闭合电路欧姆定律以及安培力的公式求出初始时刻加速度的表达式,从而得出磁感应强度的变化率.
(3)线圈在t2时刻已做匀速直线运动,有两种可能,一种磁感应强度已减小为零,一种磁感应强度不为零,根据法拉第电磁感应定律求出感应电动势的大小,从而求出电功率的大小.
解答:解:(1)因为图线切线的斜率表示加速度,则
(2)根据法拉第电磁感应定律得,
根据闭合电路欧姆定律得,
安培力F=BIL,F=ma,
得
则
(3)线圈在t2时刻已做匀速直线运动,有两种可能:
①磁感强度已减为零,所以回路的电功率P=0
②磁感强度不为零,线圈已完全进入磁场,
答:(1)t=0时刻线圈的加速度
(2)磁感强度的变化率为
(3)磁感强度已减为零,则回路的电功率P=0.
磁感强度不为零,
点评:本题综合考查了法拉第电磁感应定律、闭合电路欧姆定律以及电磁感应与力学的综合,还考查了学生的读图能力,综合性较强,需加强训练.
练习册系列答案
相关题目