题目内容
如图所示,一理想变压器的原线圈匝数n1=IOOO匝,副线圈匝数n2=200匝,交流电源的电动势e=220
A.当原线圈电流为零的瞬间表V2的示数为44V
B.当原线圈电流为零的瞬间,V2表的示数为0
C.V1表的示数为220V,V2表的示数为44V
D.通过电阻R上交流电的频率为100Hz
【答案】分析:根据理想变压器中原副线圈的电压与匝数比之间关系可以直接求解,注意电压表示数为有效值.
变压器不改变交流电的频率.
解答:解:1、交流电压表为有效值,V1、V2的值均为有效值.所以不论原线圈电流为多少,V2的示数为某一定值.
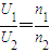
由题意可知:
,根据
得:
=
,故AC正确、B错误.
2、变压器不改变交流电的频率.原线圈中的电流的频率f=
=
.
所以通过电阻R上交流电的频率为50Hz.故D错.
故选AC.
点评:要根据理想变压器中电压与匝数比之间的关系进行有关问题的解答,注意电表的示数均为有效值.此题属于中档题.
变压器不改变交流电的频率.
解答:解:1、交流电压表为有效值,V1、V2的值均为有效值.所以不论原线圈电流为多少,V2的示数为某一定值.
由题意可知:
2、变压器不改变交流电的频率.原线圈中的电流的频率f=
所以通过电阻R上交流电的频率为50Hz.故D错.
故选AC.
点评:要根据理想变压器中电压与匝数比之间的关系进行有关问题的解答,注意电表的示数均为有效值.此题属于中档题.
练习册系列答案
相关题目