ÌâÄ¿ÄÚÈÝ
£¨1£©Ð¡Îï¿éÀ뿪AµãµÄˮƽ³õËÙ¶Èv£»
£¨2£©Ð¡Îï¿é¾¹ýOµãʱ¶Ô¹ìµÀµÄѹÁ¦£»
£¨3£©Ð±ÃæÉÏCD¼äµÄ¾àÀ룮
¡¾´ð°¸¡¿·ÖÎö£º£¨1£©ÀûÓÃÆ½Å×Ô˶¯¹æÂÉ£¬ÔÚBµã¶ÔËٶȽøÐÐÕý½»·Ö½â£¬µÃµ½Ë®Æ½ËٶȺÍÊúÖ±·½ÏòËٶȵĹØÏµ£¬
¶øÊúÖ±·½ÏòËÙ¶ÈVy=
ÏÔÈ»Ò×Çó£¬ÔòˮƽËÙ¶ÈV¿É½â£®
£¨2£©Ê×ÏÈÀûÓö¯Äܶ¨Àí½â¾öÎï¿éÔÚ×îµÍµãµÄËÙ¶ÈÎÊÌ⣬ȻºóÀûÓÃÅ£¶ÙµÚ¶þ¶¨ÂÉÔÚ×îµÍµã±íʾ³öÏòÐÄÁ¦£¬Ôò»¬¿éÊܵ½µÄµ¯Á¦¿É½â£®¸ù¾ÝÅ£¶ÙµÚÈý¶¨ÂÉ¿ÉÇó¶Ô¹ìµÀµÄѹÁ¦£®
£¨3£©Îï¿éÔÚ¹ìµÀÉÏÉÏ»¬ÊôÓÚɲ³µÎÊÌ⣬ҪÇó³öÉÏ»¬µÄ¼ÓËÙ¶È¡¢ËùÐèµÄʱ¼ä£»ÔÙÇó³öÏ»¬¼ÓËÙ¶È¡¢¾àÀ룬ÀûÓÃÔȱäËÙÖ±ÏßÔ˶¯¹æÂɹ«Ê½Çó³öÎ»ÒÆ²î£®
½â´ð£º½â£º£¨1£©¶ÔСÎï¿é£¬ÓÉAµ½BÓÐvy2=2gh
ÔÚBµã
ËùÒÔv=3m/s£®
£¨2£©¶ÔСÎï¿é£¬ÓÉBµ½OÓɶ¯Äܶ¨Àí¿ÉµÃ£º

ÆäÖÐ
ÔÚOµã
ËùÒÔN=43N
ÓÉÅ£¶ÙµÚÈý¶¨ÂÉÖª¶Ô¹ìµÀµÄѹÁ¦ÎªN¡ä=43N
£¨3£©Îï¿éÑØÐ±ÃæÉÏ»¬£ºmgsin53°+¦Ìmgcos53°=ma1
ËùÒÔa1=10m/s2
Îï¿éÑØÐ±ÃæÏ»¬£ºmgsin53°-¦Ìmgcos53°=ma2 a2=6m/s2
ÓÉ»úеÄÜÊØºãÖªvc=vB=5m/s
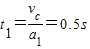
СÎï¿éÓÉCÉÏÉýµ½×î¸ßµãÀúʱ
СÎï¿éÓÉ×î¸ßµã»Øµ½DµãÀúʱt2=0.8s-0.5s=0.3s
¹Ê
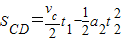
¼´SCD=0.98m£®
´ð£º£¨1£©Ð¡Îï¿éÀ뿪AµãµÄˮƽ³õËÙ¶Èv=3m/s£®
£¨2£©Ð¡Îï¿é¾¹ýOµãʱ¶Ô¹ìµÀµÄѹÁ¦N'=43N
£¨3£©Ð±ÃæÉÏCD¼äµÄ¾àÀëSCD=0.98m
µãÆÀ£º±¾ÌâÊÇÒ»¸öµ¥ÎïÌå¶à¹ý³ÌµÄÁ¦Ñ§×ÛºÏÌ⣬°Ñ¸´ÔӵĹý³Ì·Ö½â³É¼¸¸ö·Ö¹ý³ÌÊÇ»ù±¾Ë¼Â·£®
¶øÊúÖ±·½ÏòËÙ¶ÈVy=
£¨2£©Ê×ÏÈÀûÓö¯Äܶ¨Àí½â¾öÎï¿éÔÚ×îµÍµãµÄËÙ¶ÈÎÊÌ⣬ȻºóÀûÓÃÅ£¶ÙµÚ¶þ¶¨ÂÉÔÚ×îµÍµã±íʾ³öÏòÐÄÁ¦£¬Ôò»¬¿éÊܵ½µÄµ¯Á¦¿É½â£®¸ù¾ÝÅ£¶ÙµÚÈý¶¨ÂÉ¿ÉÇó¶Ô¹ìµÀµÄѹÁ¦£®
£¨3£©Îï¿éÔÚ¹ìµÀÉÏÉÏ»¬ÊôÓÚɲ³µÎÊÌ⣬ҪÇó³öÉÏ»¬µÄ¼ÓËÙ¶È¡¢ËùÐèµÄʱ¼ä£»ÔÙÇó³öÏ»¬¼ÓËÙ¶È¡¢¾àÀ룬ÀûÓÃÔȱäËÙÖ±ÏßÔ˶¯¹æÂɹ«Ê½Çó³öÎ»ÒÆ²î£®
½â´ð£º½â£º£¨1£©¶ÔСÎï¿é£¬ÓÉAµ½BÓÐvy2=2gh
ÔÚBµã
ËùÒÔv=3m/s£®
£¨2£©¶ÔСÎï¿é£¬ÓÉBµ½OÓɶ¯Äܶ¨Àí¿ÉµÃ£º
ÆäÖÐ
ÔÚOµã
ËùÒÔN=43N
ÓÉÅ£¶ÙµÚÈý¶¨ÂÉÖª¶Ô¹ìµÀµÄѹÁ¦ÎªN¡ä=43N
£¨3£©Îï¿éÑØÐ±ÃæÉÏ»¬£ºmgsin53°+¦Ìmgcos53°=ma1
ËùÒÔa1=10m/s2
Îï¿éÑØÐ±ÃæÏ»¬£ºmgsin53°-¦Ìmgcos53°=ma2 a2=6m/s2
ÓÉ»úеÄÜÊØºãÖªvc=vB=5m/s
СÎï¿éÓÉCÉÏÉýµ½×î¸ßµãÀúʱ
СÎï¿éÓÉ×î¸ßµã»Øµ½DµãÀúʱt2=0.8s-0.5s=0.3s
¹Ê
¼´SCD=0.98m£®
´ð£º£¨1£©Ð¡Îï¿éÀ뿪AµãµÄˮƽ³õËÙ¶Èv=3m/s£®
£¨2£©Ð¡Îï¿é¾¹ýOµãʱ¶Ô¹ìµÀµÄѹÁ¦N'=43N
£¨3£©Ð±ÃæÉÏCD¼äµÄ¾àÀëSCD=0.98m
µãÆÀ£º±¾ÌâÊÇÒ»¸öµ¥ÎïÌå¶à¹ý³ÌµÄÁ¦Ñ§×ÛºÏÌ⣬°Ñ¸´ÔӵĹý³Ì·Ö½â³É¼¸¸ö·Ö¹ý³ÌÊÇ»ù±¾Ë¼Â·£®
Á·Ï°²áϵÁдð°¸
Ïà¹ØÌâÄ¿