题目内容

A、B两辆汽车在笔直的公路上同向行驶,当B车在A车前84 m处时,B车速度为4 m/s,且以2 m/s2的加速度做匀加速运动;经过一段时间后,B车加速度突然变为零.A车一直以20 m/s的速度做匀速运动,一共经过12 s后两车相遇.问B车加速行驶的时间是多少?

答案:
解析:

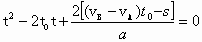
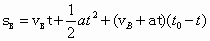
  解:设A车的速度为vA,B车加速行驶时间为t两车在t0时相遇.则有

  

  

  式中,t0=12 s,sA、sB分别为 A、B两车相遇前行驶的路程.依题意有

  式中s=84 m,由①②③式得

  

  代入数据t2-24t+108=0⑤

  式中t的单位为s.解得

  t1=6 s,t2=18 s⑥

  t2=18 s不合题意,舍去.因此,B车加速行驶的时间为6 s


练习册系列答案
相关题目

违法和不良信息举报电话:027-86699610 举报邮箱:58377363@163.com

精英家教网