题目内容

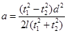
像打点计时器一样,光电计时器也是一种研究物体运动情况的常见计时仪器,每个光电门都是由激光发射和接收装置组成.当有物体从光电门通过时,光电计时器就可以显示物体的挡光时间.现利用如图所示装置设计一个“探究物体运动的加速度与合外力”的实验,图中NQ是水平桌面、PQ是一端带有滑轮的长木板,1、2是固定在木板上间距为l的两个光电门(与之连接的两个光电计时器没有画出),用米尺测量两光电门的间距为l,小车上固定着用于挡光的窄片K,窄片的宽度为d,让小车从木板的顶端滑下,光电门各自连接的计时器显示窄片K的挡光时间分别为t1和t2,已知l>>d。

(1)则小车的加速度表达式a=____________(用l、d、t1和t2表示);

(2)某位同学通过测量,把砂和砂桶的重量当作小车的合外力F,作出a-F图线.如图中的实线所示,则图线不通过坐标原点O的原因是______________________;

 

 

【答案】

(1)  (2)平衡摩擦力时倾斜角过大

【解析】

试题分析: (1)通过光电门1的速度,通过光电门2的速度为,两光电门之间的距离为l,根据公式可得

(2)根据图中可得,在外力为零的时候,加速度不为零,说明平衡摩擦力时木板倾角太大;没有满足小车质量远大于砂和砂桶的质量

考点:考查了利用光电门计算加速度

 

练习册系列答案
相关题目
像打点计时器一样,光电计时器也是一种研究物体运动情况的常见计时仪器,其结构如图甲所示,a、b分别是光电门的激光发射和接收装置,当有物体从a、b间通过时,光电计时器就可以显示物体的挡光时间.现利用图乙所示装置设计一个“验证物体运动的加速度与合外力、质量关系”的实验,图中NQ是水平桌面,PQ是一端带有滑轮的长木板,1、2是固定在木板上的两个光电门(与之连接的两个光电计时器没有画出).小车上固定着用于挡光的窄片K,让小车从木板的顶端滑下,光电门各自连接的计时器显示窄片K的挡光时间分别为t1和t2

(1)用游标卡尺测量窄片K的宽度d=0.50cm(已知L>>d)光电门1,2各自连接的计时器显示的挡光时间分别为t1=2.50×10-2s,t2=1.25×10-2s.则窄片K通过光电门Ⅰ时的速度为
0.2m/s
0.2m/s

(2)用米尺测量两光电门间距为L,则小车的加速度表达式a=
(t
2
1
-
t
2
2
)d2
2
Lt
2
1
t
2
2
(t
2
1
-
t
2
2
)d2
2
Lt
2
1
t
2
2

(各量均用(1)(2)里的已知量的字母表示)
(3)该实验中,为了探究a与F的关系,要保持小车的质量M不变,这种探究方法叫
控制变量法
控制变量法
,有位同学通过测量,把砂和砂桶的重量当作小车的合外力F,作出a一F图线.如上图丙中的实线所示,试分析:
图线不通过坐标原点O的原因是
平衡摩擦力时木板倾角过大
平衡摩擦力时木板倾角过大

图线上部弯曲的原因是
没有满足小车质量M运大于砂和砂筒的质量m
没有满足小车质量M运大于砂和砂筒的质量m
像打点计时器一样,光电计时器也是一种研究物体运动情况的常见计时仪器,每个光电门都是由激光发射和接收装置组成.当有物体从光电门通过时,光电计时器就可以显示物体的挡光时间.现利用如图1所示装置设计一个“探究物体运动的加速度与合外力、质量关系”的实验,图中NQ是水平桌面、PQ是一端带有滑轮的长木板,1、2是固定在木板上间距为l的两个光电门(与之连接的两个光电计时器没有画出).小车上固定着用于挡光的窄片K,让小车从木板的顶端滑下,光电门各自连接的计时器显示窄片K的挡光时间分别为t1和t2
 
(1)用游标卡尺测量窄片K的宽度(如图2)d=
5.15×10-3
5.15×10-3
m(已知l>>d),光电门1、2各自连接的计时器显示的挡光时间分别为t1=2.50×10-2s、t2=1.25×10-2s;
(2)用米尺测量两光电门的间距为l,则小车的加速度表达式a=
a=
(
t
2
1
-
t
2
2
)d2
2l
t
2
1
t
2
2
a=
(
t
2
1
-
t
2
2
)d2
2l
t
2
1
t
2
2
(各量均用(1)(2)里的已知量的字母表示);
(3)该实验中,为了把砂和砂桶拉车的力当作小车受的合外力,就必须平衡小车受到的摩擦力,正确的做法是
不挂砂和砂桶,调节长木板的倾角,轻推小车让其下滑,直至两个光电计时器的读数相等为止
不挂砂和砂桶,调节长木板的倾角,轻推小车让其下滑,直至两个光电计时器的读数相等为止

(4)某位同学通过测量,把砂和砂桶的重量当作小车的合外力F,作出a-F图线.如图3中的实线所示.试分析:图线不通过坐标原点O的原因是
平衡摩擦力时木板倾角太大
平衡摩擦力时木板倾角太大
;曲线上部弯曲的原因是
没有满足小车质量远大于砂和砂桶的质量
没有满足小车质量远大于砂和砂桶的质量
精英家教网I.一个实验小组在“探究弹力和弹簧伸长的关系”的实验中,使用两条不同的轻质弹簧 a和b,得到弹力与弹簧长度的图象如图所示.下列表述正确的是
 

A.a的原长比b的短;
B.a的劲度系数比b的大;
C.a的劲度系数比的小;
D.测得的弹力与弹簧的长度成正比;
II.像打点计时器一样,光电计时器也是一种研究物体运动情况的常见计时仪器,每个光电门都是由激光发射和接收装置组成.当有物体从光电门通过时,光电计时器就可以显示物体的挡光时间.现利用如图所示装置设计一个“探究物体运动的加速度与合外力、质量关系”的实验,图中NQ是水平桌面、PQ是一端带有滑轮的长木板,1、2是固定在木板上间距为L的两个光电门(与之连接的两个光电计时器没有画出).可以装载钩码的小车上固定着用于挡光的窄片K,让小车从木板的顶端滑下,光电门各自连接的计时器显示窄片K的挡光时间分别为t1和t2精英家教网
①在某次测量中,用游标卡尺测量窄片K的宽度,游标卡尺如图所示,则窄片K的宽度d=
 
m(已知L>>d),光电门1、2各自连接的计时器显示的挡光时间分别为t1=4.0×10-2s,t2=2.0×10-2s;
②用米尺测量两光电门的间距为L=0.40m,则小车的加速度大小a=
 
 m/s2
III.有一个小灯泡上标有“4.8V、2W”的字样,现在测定小灯泡在不同电压下的电功率,并作出小灯泡的电功率P与它两端电压的平方U2的关系曲线.有下列器材可供选用:
A 电压表V1(0~3V,内阻3kΩ)   
B 电压表V2(0~15V,内阻15kΩ)
C 电流表A(0~0.6A,内阻约1Ω)
D 定值电阻R1=2kΩ
E 定值电阻R2=10kΩ
F 滑动变阻器R(10Ω,2A)
G 学生电源(直流5V,内阻不计)
H 开关、导线若干
精英家教网
①为了使测量结果尽可能准确,实验中所用电压表应选用
 
;定值电阻应选用
 
.(均用序号字母填写);
②为尽量减小实验误差,并要求从零开始多取几组数据,请在方框内画出满足实验要求的电路图;
③根据实验做出P-U2图象,下面的四个图象中可能正确的是
 

精英家教网

违法和不良信息举报电话:027-86699610 举报邮箱:58377363@163.com

精英家教网