题目内容
1970年4月24日我国发射了第一颗人造卫星,其近地点高度是
,远地点高度是
,则近地点与远地点行星运动速率之比
=_________.(已知
,用
、
、
表示)
答案:略
解析:
解析:
|
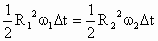
由开普勒第二定律知:地球和卫星的连线在相等时间扫过相同的面积,卫星近地点和远地点在 |
练习册系列答案
相关题目
| A、卫星在M点的势能大于N点的势能 | B、卫星在M点的角速度小于N点的角速度 | C、卫星在M点的加速度大于N点的加速度 | D、卫星在N点的速度大于7.9km/s |
| A、卫星在N点的速度小于7.9km/s | B、卫星在M点的速度大于7.9km/s | C、卫星在M点的加速度大于N点的加速度 | D、卫星在N点若再适当加速则可进入过N点的圆轨道运行 |