题目内容

一个做简谐运动的弹簧振子,周期为T,振幅为A,设振子第一次从平衡位置运动到x=处所经最短时间为t1,第一次从最大正位移处运动到x=所经最短时间为t2,关于t1与t2,以下说法正确的是:

A.

t1=t2

B.

t1<t2

C.

t1>t2

D.

无法判断

答案:B
解析:

  

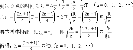
  对B球振动周期

  

  显然,前面的解仅仅是当n=0时的其中一解而已.

  

  [评析]在解决与振动有关的问题时,要充分考虑到振动的周期性,由于振动具有周期性,所以此类问题往往答案不是一个而是多个.


练习册系列答案
相关题目

违法和不良信息举报电话:027-86699610 举报邮箱:58377363@163.com

精英家教网