题目内容
一列火车做匀变速直线运动驶来,一人在火车旁观察火车的运动,发现相邻的两个10s内,列车从他跟前驶过6节车厢和8节车厢,每节车厢长8m,则火车的加速度 ,人开始观察时火车的速度大小 .
【答案】分析:在连续相等时间内的位移之差是一恒量,即△x=aT2,根据该规律求出火车的加速度.再根据匀变速直线运动的位移时间公式求出初速度.
解答:解:由△x=aT2得,
.
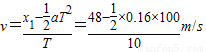
由
得,
=4m/s.
故答案为:0.16m/s2,4m/s.
点评:解决本题的关键掌握匀变速直线运动的规律,会灵活运用运动学公式进行求解.
解答:解:由△x=aT2得,
由
故答案为:0.16m/s2,4m/s.
点评:解决本题的关键掌握匀变速直线运动的规律,会灵活运用运动学公式进行求解.
练习册系列答案
相关题目