题目内容
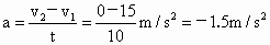
汽车正以54km/h的速度行驶,司机发现前方一个小孩在跑动,便立刻刹车.为使车经10s停下来,则汽车的加速度大小是______
.
答案:-1.5
解析:
解析:
|
|
练习册系列答案
相关题目
题目内容
汽车正以54km/h的速度行驶,司机发现前方一个小孩在跑动,便立刻刹车.为使车经10s停下来,则汽车的加速度大小是______
.
|
|