题目内容

已知OABC为同一直线上的四点,AB间的距离为l1BC间的距离为l2,一物体自O点静止起出发,沿此直线做匀加速运动,依次经过ABC三点.已知物体通过AB段与通过BC段所用时间相等.求OA的距离.

答案:
解析:

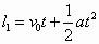
  设物体的加速度为a,到达A点的速度为v0,通过AB段和BC段所用的时间为t,则有:

        (2分)

       (2分)

  设O与A的距离为l,则有:

           (2分)

  联立式得:    (2分)


练习册系列答案
相关题目

违法和不良信息举报电话:027-86699610 举报邮箱:58377363@163.com

精英家教网