题目内容
一辆电动玩具车A点由静止开始以加速度a1在地面上做匀加速直线运动,经过一段时间后立即做匀减速运动,最后停在C点.每隔0.2秒钟通过速度传感器测量物体的瞬时速度,下表给出了部分测量数据.求:| t ( s ) | 0.0 | 0.2 | 0.4 | … | 1.2 | 1.4 | … |
| v( m/s ) | 0.0 | 1.0 | 2.0 | … | 1.1 | 0.7 | … |
(2)AC的距离
(3)t=0.6s 时的瞬时速度 v.
【答案】分析:由加速度的定义式可解得两个过程的加速度;总位移的解法应当分为加速过程和减速过程来求解,瞬时速度则可以用速度时间关系式.
解答:解:( 1)设加速过程加速度为a1,减速过程加速度为a2
由加速度的定义式:
加速度为a2的大小
(2)设经t秒车达到最大速度为vm,
从t时刻到1.4s列速度时间关系式:
v=vm-a2(1.4-t)
解得:t=0.5s; vm=2.5m/s
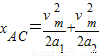
所以总位移:
=2.19m
(3)由速度时间关系式得:
v=vm-a2(0.6-0.5)=2.3m/s
答:小车加速运动的加速度a1的大小5m/s2;AC的距离为2.19m,t=0.6s 时的瞬时速度 2.3m/s
点评:在高中物理学习中,我们会遇到多种不同的获取信息方法,这些方法对我们理解物理有很大的帮助.
解答:解:( 1)设加速过程加速度为a1,减速过程加速度为a2
由加速度的定义式:
加速度为a2的大小
(2)设经t秒车达到最大速度为vm,
从t时刻到1.4s列速度时间关系式:
v=vm-a2(1.4-t)
解得:t=0.5s; vm=2.5m/s
所以总位移:
(3)由速度时间关系式得:
v=vm-a2(0.6-0.5)=2.3m/s
答:小车加速运动的加速度a1的大小5m/s2;AC的距离为2.19m,t=0.6s 时的瞬时速度 2.3m/s
点评:在高中物理学习中,我们会遇到多种不同的获取信息方法,这些方法对我们理解物理有很大的帮助.
练习册系列答案
相关题目
一辆电动玩具车A点由静止开始以加速度a1在地面上做匀加速直线运动,经过一段时间后立即做匀减速运动,最后停在C点.每隔0.2秒钟通过速度传感器测量物体的瞬时速度,下表给出了部分测量数据.求:
| t ( s ) | 0.0 | 0.2 | 0.4 | … | 1.2 | 1.4 | … |
| v( m/s ) | 0.0 | 1.0 | 2.0 | … | 1.1 | 0.7 | … |
一辆电动玩具车A点由静止开始以加速度a1在地面上做匀加速直线运动,经过一段时间后立即做匀减速运动,最后停在C点.每隔0.2秒钟通过速度传感器测量物体的瞬时速度,下表给出了部分测量数据.求:
| t ( s ) | 0.0 | 0.2 | 0.4 | … | 1.2 | 1.4 | … |
| v( m/s ) | 0.0 | 1.0 | 2.0 | … | 1.1 | 0.7 | … |
(1)小车加速运动的加速度a1的大小
(2)AC的距离
(3) t =0.6 s 时的瞬时速度 v
一辆电动玩具车A点由静止开始以加速度a1在地面上做匀加速直线运动,经过一段时间后立即做匀减速运动,最后停在C点.每隔0.2秒钟通过速度传感器测量物体的瞬时速度,下表给出了部分测量数据.求:
|
t ( s ) |
0.0 |
0.2 |
0.4 |
… |
1.2 |
1.4 |
… |
|
v( m/s ) |
0.0 |
1.0 |
2.0 |
… |
1.1 |
0.7 |
… |
(1)小车加速运动的加速度a1的大小
(2)AC的距离
(3) t =0.6 s 时的瞬时速度 v