ÌâÄ¿ÄÚÈÝ
£¨1£©AºÍB¸Õ¿ªÊ¼Ô˶¯Ê±µÄ¼ÓËÙ¶È´óС·Ö±ðΪ¶àÉÙ£¿
£¨2£©ÈôA×îÔ¶Äܵ½´ïbµã£¬a¡¢bµÄ¾àÀëLӦΪ¶àÉÙ£¿´Ót=0ʱ¿Ìµ½AÔ˶¯µ½bµãʱ£¬Ä¦²ÁÁ¦¶ÔB×öµÄ¹¦Îª¶àÉÙ£¿
¡¾´ð°¸¡¿·ÖÎö£º£¨1£©A¸Õ¿ªÊ¼Ô˶¯ÊÇËùÊܵĺÏÍâÁ¦Îªµç³¡Á¦£¬¸ù¾ÝÅ£¶ÙµÚ¶þ¶¨ÂÉÇó³öAµÄ¼ÓËÙ¶È£¬ÒòΪÁ¦µÄ×÷ÓÃÊÇÏ໥µÄ£¬B¸Õ¿ªÊ¼Ô˶¯Ê±Êܵ糡Á¦ºÍĦ²ÁÁ¦£¬¸ù¾ÝÅ£¶ÙµÚ¶þ¶¨ÂÉÇó³öBµÄ¼ÓËÙ¶È£®
£¨2£©BÏòÓÒ×öÔȼõËÙÖ±ÏßÔ˶¯£¬µ±BËÙ¶ÈΪÁãʱ£¬Çó³öAµÄËÙ¶È£¬ÖªAµÄËÙ¶È´óÓÚÁ㣬¸ù¾ÝÔ˶¯Ñ§¹«Ê½Çó³öÕâ¶Îʱ¼äÄÚµÄÏà¶ÔÎ»ÒÆÒÔ¼°Ä¦²ÁÁ¦¶ÔBËù×öµÄ¹¦£»ÒòΪµç³¡Á¦´óÓÚBËùÊܵÄĦ²ÁÁ¦£¬ËùÒÔBÓÖ·´Ïò×öÔȼÓËÙÖ±ÏßÔ˶¯£¬A¼ÌÐø×öÔȼõËÙÖ±ÏßÔ˶¯£¬µ±Á½ÕßËÙ¶ÈÏàµÈʱ£¬A¡¢BÏà¾à×îÔ¶£¬ÔËÓÃÔ˶¯Ñ§¹«Ê½ÔÙÇó³öÕâ¶Îʱ¼äÄÚÁ½ÕßµÄÏà¶ÔÎ»ÒÆÒÔ¼°Ä¦²ÁÁ¦¶ÔBËù×öµÄ¹¦£¬´Ó¶øµÃ³öÕû¸ö¹ý³ÌÖÐÁ½ÕßÏà¶ÔÔ˶¯µÄ×î´óÎ»ÒÆºÍÔڴ˹ý³ÌÖÐĦ²ÁÁ¦¶ÔBËù×öµÄ¹¦£®
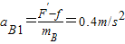
½â´ð£º½â£º£¨1£©A¸Õ¿ªÊ¼Ô˶¯Ê±µÄ¼ÓËÙ¶È´óС
·½ÏòˮƽÏòÓÒ
BÊܵ糡Á¦F¡ä=F=1.2NĦ²ÁÁ¦f=¦Ì£¨mA+mB£©g=0.8N
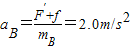
B¸Õ¿ªÊ¼Ô˶¯Ê±µÄ¼ÓËÙ¶È´óС
·½ÏòˮƽÏò×ó
´ð£ºAµÄ¼ÓËÙ¶È´óСΪ2.0m/s2£¬·½ÏòˮƽÏòÓÒ£¬BµÄ¼ÓËÙ¶È´óСΪ2.0m/s2£¬·½ÏòˮƽÏò×ó£®
£¨2£©ÉèB´Ó¿ªÊ¼ÔȼõËÙµ½ÁãµÄʱ¼äΪt1£¬ÔòÓÐ

t1ʱ¿ÌAµÄËÙ¶ÈvA1=vA-aAt1=1.2m/s£¾0
AµÄÎ»ÒÆ
´Ët1ʱ¼äÄÚAÏà¶ÔBÔ˶¯µÄÎ»ÒÆs1=sA1+sB1=0.32m
w1=-f?sB1=-0.032J
t1ºó£¬ÓÉÓÚF¡ä£¾f£¬B¿ªÊ¼ÏòÓÒ×÷ÔȼÓËÙÔ˶¯£¬A¼ÌÐø×÷ÔȼõËÙÔ˶¯£¬µ±ËüÃÇËÙ¶ÈÏàµÈʱA¡¢BÏà¾à×îÔ¶£¬
Éè´Ë¹ý³ÌÔ˶¯Ê±¼äΪt2£¬ËüÃÇËÙ¶ÈΪv£¬ÔòÓÐ ¶ÔA£ºËÙ¶Èv=vA1-aAt2
¶ÔB£º¼ÓËÙ¶È
ËÙ¶Èv=aB1t2½âµÃ£ºv=0.2m/s t=0.5s
t2ʱ¼äÄÚAÔ˶¯µÄÎ»ÒÆ
BÔ˶¯µÄÎ»ÒÆ
t2ÄÚAÏà¶ÔBµÄÎ»ÒÆs2=sA2-sB2=0.30mĦ²ÁÁ¦¶ÔB×ö¹¦Îªw1=-f?sB2=-0.04J
A×îÔ¶µ½´ïbµãa¡¢bµÄ¾àÀëΪL=s1+s2=0.62m
´Ót=0ʱ¿Ìµ½AÔ˶¯µ½bµãʱ£¬Ä¦²ÁÁ¦¶ÔB×öµÄ¹¦Îª wf=w1+w2=-0.072J
´ð£ºa¡¢bµÄ¾àÀëLӦΪ0.62m£¬Ä¦²ÁÁ¦¶ÔB×öµÄ¹¦Îª-0.072J£®
µãÆÀ£º±¾ÌâµÚÒ»ÎÊÄѶȲ»´ó£¬¹Ø¼ü¶ÔÑо¿¶ÔÏóÊÜÁ¦·ÖÎö£¬¸ù¾ÝÅ£¶ÙµÚ¶þ¶¨ÂÉÇó³ö¼ÓËÙ¶È£®µÚ£¨2£©ÎʽÏÄÑ£¬¹Ø¼üÄܹ»È·¶¨³öÔÚÕû¸ö¹ý³ÌÖÐAºÍBµÄÔ˶¯Çé¿ö£¬´Ó¶ø¸ù¾Ý¶¯Á¦Ñ§ÖªÊ¶½øÐÐÇó½â£®
£¨2£©BÏòÓÒ×öÔȼõËÙÖ±ÏßÔ˶¯£¬µ±BËÙ¶ÈΪÁãʱ£¬Çó³öAµÄËÙ¶È£¬ÖªAµÄËÙ¶È´óÓÚÁ㣬¸ù¾ÝÔ˶¯Ñ§¹«Ê½Çó³öÕâ¶Îʱ¼äÄÚµÄÏà¶ÔÎ»ÒÆÒÔ¼°Ä¦²ÁÁ¦¶ÔBËù×öµÄ¹¦£»ÒòΪµç³¡Á¦´óÓÚBËùÊܵÄĦ²ÁÁ¦£¬ËùÒÔBÓÖ·´Ïò×öÔȼÓËÙÖ±ÏßÔ˶¯£¬A¼ÌÐø×öÔȼõËÙÖ±ÏßÔ˶¯£¬µ±Á½ÕßËÙ¶ÈÏàµÈʱ£¬A¡¢BÏà¾à×îÔ¶£¬ÔËÓÃÔ˶¯Ñ§¹«Ê½ÔÙÇó³öÕâ¶Îʱ¼äÄÚÁ½ÕßµÄÏà¶ÔÎ»ÒÆÒÔ¼°Ä¦²ÁÁ¦¶ÔBËù×öµÄ¹¦£¬´Ó¶øµÃ³öÕû¸ö¹ý³ÌÖÐÁ½ÕßÏà¶ÔÔ˶¯µÄ×î´óÎ»ÒÆºÍÔڴ˹ý³ÌÖÐĦ²ÁÁ¦¶ÔBËù×öµÄ¹¦£®
½â´ð£º½â£º£¨1£©A¸Õ¿ªÊ¼Ô˶¯Ê±µÄ¼ÓËÙ¶È´óС
BÊܵ糡Á¦F¡ä=F=1.2NĦ²ÁÁ¦f=¦Ì£¨mA+mB£©g=0.8N
B¸Õ¿ªÊ¼Ô˶¯Ê±µÄ¼ÓËÙ¶È´óС
´ð£ºAµÄ¼ÓËÙ¶È´óСΪ2.0m/s2£¬·½ÏòˮƽÏòÓÒ£¬BµÄ¼ÓËÙ¶È´óСΪ2.0m/s2£¬·½ÏòˮƽÏò×ó£®
£¨2£©ÉèB´Ó¿ªÊ¼ÔȼõËÙµ½ÁãµÄʱ¼äΪt1£¬ÔòÓÐ
t1ʱ¿ÌAµÄËÙ¶ÈvA1=vA-aAt1=1.2m/s£¾0
AµÄÎ»ÒÆ
´Ët1ʱ¼äÄÚAÏà¶ÔBÔ˶¯µÄÎ»ÒÆs1=sA1+sB1=0.32m
w1=-f?sB1=-0.032J
t1ºó£¬ÓÉÓÚF¡ä£¾f£¬B¿ªÊ¼ÏòÓÒ×÷ÔȼÓËÙÔ˶¯£¬A¼ÌÐø×÷ÔȼõËÙÔ˶¯£¬µ±ËüÃÇËÙ¶ÈÏàµÈʱA¡¢BÏà¾à×îÔ¶£¬
Éè´Ë¹ý³ÌÔ˶¯Ê±¼äΪt2£¬ËüÃÇËÙ¶ÈΪv£¬ÔòÓÐ ¶ÔA£ºËÙ¶Èv=vA1-aAt2
¶ÔB£º¼ÓËÙ¶È
ËÙ¶Èv=aB1t2½âµÃ£ºv=0.2m/s t=0.5s
t2ʱ¼äÄÚAÔ˶¯µÄÎ»ÒÆ
BÔ˶¯µÄÎ»ÒÆ
t2ÄÚAÏà¶ÔBµÄÎ»ÒÆs2=sA2-sB2=0.30mĦ²ÁÁ¦¶ÔB×ö¹¦Îªw1=-f?sB2=-0.04J
A×îÔ¶µ½´ïbµãa¡¢bµÄ¾àÀëΪL=s1+s2=0.62m
´Ót=0ʱ¿Ìµ½AÔ˶¯µ½bµãʱ£¬Ä¦²ÁÁ¦¶ÔB×öµÄ¹¦Îª wf=w1+w2=-0.072J
´ð£ºa¡¢bµÄ¾àÀëLӦΪ0.62m£¬Ä¦²ÁÁ¦¶ÔB×öµÄ¹¦Îª-0.072J£®
µãÆÀ£º±¾ÌâµÚÒ»ÎÊÄѶȲ»´ó£¬¹Ø¼ü¶ÔÑо¿¶ÔÏóÊÜÁ¦·ÖÎö£¬¸ù¾ÝÅ£¶ÙµÚ¶þ¶¨ÂÉÇó³ö¼ÓËÙ¶È£®µÚ£¨2£©ÎʽÏÄÑ£¬¹Ø¼üÄܹ»È·¶¨³öÔÚÕû¸ö¹ý³ÌÖÐAºÍBµÄÔ˶¯Çé¿ö£¬´Ó¶ø¸ù¾Ý¶¯Á¦Ñ§ÖªÊ¶½øÐÐÇó½â£®
Á·Ï°²áϵÁдð°¸
Ïà¹ØÌâÄ¿