题目内容

一打点计时器固定在斜面上某处,一小车拖着穿过打点计时器的纸带从斜面上滑下,如图1所示,图2是打出的纸带的一段.

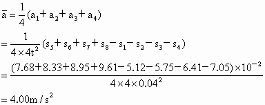
(1)已知打点计时器使用的交流电的频率为50Hz,利用乙图给出的数据可求出小车下滑的加速度a=________

(2)为了求出小车在下滑过程中所受的阻力,还需测量的物理量有______.用测得的量及加速度a表示阻力的计算式为F=__________.

答案:略
解析:

(1)(2)小车质量m,斜面上任意两点距离及这两点的高度差h

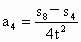
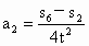
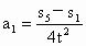
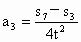
可采用隔多项逐差的方法,由来求加速度a

(1)

说明:求出a之间都正确.

(2)小车下滑时受mgNF三个力,沿斜面方向,应用牛顿第二定律,有.其中


练习册系列答案
相关题目

违法和不良信息举报电话:027-86699610 举报邮箱:58377363@163.com

精英家教网