题目内容
据报道,美国航空航天管理局计划在2008年10月发射“月球勘测轨道器(LRO)”.已知LRO绕月飞行的周期为T,月球半径为R,月球表面的重力加速度为g,试求LRO距月球表面的高度h?
【答案】分析:根据卫星的万有引力提供向心力列式,再根据月球表面物体的重力等于万有引力列式,最后联立求解即可.
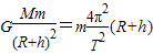
解答:解:LRO绕月飞行,卫星的万有引力提供向心力:
①
在月球表面,有:
②
解①②两式得:
答:LRO距月球表面的高度h为
.
点评:万有引力与航天类的题目把握两点:(1)物体在星球上或在星球附近利用万有引力等于重力;(2)物体围绕星球做圆周运动,万有引力提供向心力.
解答:解:LRO绕月飞行,卫星的万有引力提供向心力:
在月球表面,有:
解①②两式得:
答:LRO距月球表面的高度h为
点评:万有引力与航天类的题目把握两点:(1)物体在星球上或在星球附近利用万有引力等于重力;(2)物体围绕星球做圆周运动,万有引力提供向心力.
练习册系列答案
相关题目