题目内容
质量分别为m1和m2的两个小物块用轻绳连接,绳跨过位于倾角α=30°的光滑斜面顶端的轻滑轮,滑轮与转轴之间的摩擦不计,斜面固定在水平桌面上,如图所示.第一次,m1悬空,m2放在斜面上,用t表示m2自斜面底端由静止开始运动至斜面顶端所需的时间.第二次,将m1和m2位置互换,使m2悬空,m1放在斜面上,发现m1自斜面底端由静止开始运动至斜面顶端所需的时间为
【答案】分析:(1)两物体通过轻绳相连可知,两物体运动的加速度大小相等;
(2)互换m1和m2的位置,物体自斜面底端滑上斜面顶端时间之比为3:1,据物体向上做初速度为零的匀加速直线运动,由位移相等可得物体上滑的加速度之比;
(3)据物体的受力分析,根据牛顿第二定律列式可求两种情况下物体的加速度大小之比;由物体受力得到的加速度之比和运动分析的加速度之比相等,列式可求两两物体的质量之比.
解答:
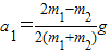
解:第一次,小物块受力情况如图所示,设T1为绳中张力,a1为两物块加速度的大小,l为斜面长,则有
m1g-T1=m1a1 ①
T1-m2gsinα=m2a1 ②
③
第二次,m1与m2交换位置.设绳中张力为T2,两物块加速度的大小为a2,则有
m2g-T2=m2a2 ④
T2-m1gsinα=m1a2 ⑤
⑥
由 ①、②式注意到?α=30°得
⑦
由 ④、⑤式注意到?α=30°得
⑧
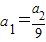
由 ③、⑥式得
⑨
由 ⑦、⑧、⑨式可解得
⑩
答:m1m2之比为
点评:用隔离法求物体的加速度,通过正确的受力分析,根据牛顿第二定律列式求物体的加速度;通过对物体的运动分析,得出两种情况下物体的加速度大小之比,结合受力得到的加速度和运动计算的加速度之比相等,列式可求得物体的质量之比.
(2)互换m1和m2的位置,物体自斜面底端滑上斜面顶端时间之比为3:1,据物体向上做初速度为零的匀加速直线运动,由位移相等可得物体上滑的加速度之比;
(3)据物体的受力分析,根据牛顿第二定律列式可求两种情况下物体的加速度大小之比;由物体受力得到的加速度之比和运动分析的加速度之比相等,列式可求两两物体的质量之比.
解答:
m1g-T1=m1a1 ①
T1-m2gsinα=m2a1 ②
第二次,m1与m2交换位置.设绳中张力为T2,两物块加速度的大小为a2,则有
m2g-T2=m2a2 ④
T2-m1gsinα=m1a2 ⑤
由 ①、②式注意到?α=30°得
由 ④、⑤式注意到?α=30°得
由 ③、⑥式得
由 ⑦、⑧、⑨式可解得
答:m1m2之比为
点评:用隔离法求物体的加速度,通过正确的受力分析,根据牛顿第二定律列式求物体的加速度;通过对物体的运动分析,得出两种情况下物体的加速度大小之比,结合受力得到的加速度和运动计算的加速度之比相等,列式可求得物体的质量之比.
练习册系列答案
相关题目
两颗行星的质量分别为m1和m2,绕太阳运行的轨道半长轴分别为r1和r2,则它们的公转周期之比为( )
A、
| ||||||||
B、
| ||||||||
C、
| ||||||||
| D、无法确定 |