题目内容

半径为的球形物体固定在水平地面上,球心正上方有一光滑的小滑轮,滑轮到球面的距离为,轻绳的一端系一小球,靠放在半球上的点,另一端绕过定滑轮后用力拉住,使小球静止,如图所示,现缓慢地拉绳,在使小球由的过程中,半球对小球的支持力和绳对小球的拉力的大小变化的情况是(   )

A.不变,变小

B.不变, 先变大后变小

C.变小,先变小后变大

D.变大,变小

 

【答案】

A

【解析】

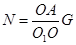
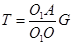
试题分析:以小球为研究对象,分析小球受力情况:重力G,细线的拉力T和半球面的支持力N,作出N、T

的合力F,由平衡条件得知F=G. 由△NFA∽△AO1O得得:   

由题缓慢地将小球从A点拉到B点过程中,O1O,AO不变,O1A变小,得T变小;N不变,A正确

考点:本题考查物体在共点力作用下的动态平衡。

 

练习册系列答案
相关题目
(2011?泗阳县一模) (选做题)本题包括A、B、C三小题,请选定其中两题,并在相应答题区域内作答.若三题都做,则按A、B两题评分.
A.(选修3-3模块)
(1)以下说法中正确的是
A.物体内能取决于温度、体积和物质的量
B.布朗运动是悬浮在液体中固体颗粒的分子无规则运动的反映
C.浸润和不浸润均是分子力作用的表现
D.液晶对不同颜色光的吸收强度随电场强度的变化而变化
(2)如图所示,气缸内封闭一定质量的某种理想气体,活塞通过滑轮和一重物连接并保持平衡,已知活塞距缸口0.2m,活塞面积10cm2,大气压强1.0×105Pa,物重50N,活塞质量及一切摩擦不计,缓慢升高环境温度,使活塞刚好升到缸口,封闭气体吸收了60J的热量,同时气体对外做功10J的功,则封闭气体的压强将
不变
不变
选填“增加”、“减小”或“不变”),气体内能变化量为
50
50
J.
(3)用油膜法测量分子大小的实验中,将浓度为的一滴油酸溶液,轻轻滴入水中,稳定后形成了一层单分子油膜,测得一滴油酸溶液的体积为V0,形成的油膜面积为S,则油酸分子的直径约为多少?如果把油酸分子看成是球形的,该滴油酸分子数约为多少?
B.(选修3-4模块)
(1)下列说法中正确的有
A.不管光源与观察者是否存在相对运动,观察者观察到的光速是不变的
B.水面上的油膜呈现彩色是光的干涉现象
C.在光导纤维束内传送图象是利用光的色散现象
D.声源向静止的观察者运动,观察者接收到的频率小于声源的频率
(2)如图1所示为一个向右传播的t=0时刻的横波波形图,已知波从O点传到D点用0.2s,该波的波速为
10
10
 m/s,频率为
2.5
2.5
 Hz;t=0时,图中“A、B、C、D、E、F、G、H、I、J”各质点中,向y轴正方向运动的速率最大的质点是
D
D

(3)图2示是一透明的圆柱体的横截面,其半径R=20cm,折射率为
3
,AB是一条直径,今有一束平行光沿AB方向射向圆柱体,试求:
①光在圆柱体中的传播速度;
②距离直线AB多远的入射光线,折射后恰经过B点.
C.(选修模块3-5)
(1)下列说法正确的是
A.康普顿效应进一步证实了光的波动特性
B.为了解释黑体辐射规律,普朗克提出电磁辐射的能量的量子化
C.经典物理学不能解释原子的稳定性和原子光谱的分立特征
D.天然放射性元素的半衰期与环境的温度有关
(2)90234Th是不稳定的,能自发地发生衰变.
①完成90234Th衰变反应方程90234Th→91234Pa+.
90234Th衰变为86222Rn,共经过
3
3
  次α衰变,
2
2
 次β衰变.
(3)光滑水平上有A、B两辆小车,A、B两车上分别固定一根条形磁铁和两根条形磁铁(条形磁铁是相同的),已知A车(包括车上的磁铁)的质量是B车(包括车上的磁铁)质量的4倍,当A车以已知速度v向静止的B车运动时,当它们之间的距离缩短到某一极限值后又被弹开,然后各自以新的速度做匀速直线运动,设作用前后它们的轨迹在同一直线上,求当A、B之间距离最短时它们各自的速度.

违法和不良信息举报电话:027-86699610 举报邮箱:58377363@163.com

精英家教网