题目内容
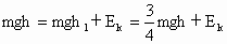
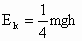
物体从高处自由下落,若选地面为参考平面,则下落时间为落地时间的一半时,物体所具有的动能和重力势能之比为
[ ]
A.1∶4
B.1∶3
C.1∶2
D.1∶1
答案:B
解析:
解析:
|
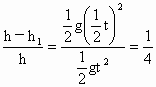
设物体下落的高度为 h,物体下落时间为落地时间一增时,离地高度为由 |
练习册系列答案
相关题目
物体从高处自由下落,若底面为参考平面,则下落时间为落地时间的一半时,物体所具有的动能和重力势能之比为( )
| A、1:3 | B、1:4 | C、1:2 | D、1:1 |