ÌâÄ¿ÄÚÈÝ

ÅçÄ«´òÓ¡»úµÄ½á¹¹¼òͼÈçͼËùʾ£¬ÆäÖÐÄ«ºÐ¿ÉÒÔ·¢³öī֭΢µÎ£¬´Ë΢µÎ¾­¹ý´øµçÊÒʱ±»´øÉϸºµç£¬´øµçµÄ¶àÉÙÓɼÆËã»ú°´×ÖÌå±Ê»­¸ßµÍλÖÃÊäÈëÐźſØÖÆ£®´øµçºóµÄ΢µÎÒÔÒ»¶¨µÄ³õËٶȽøÈëÆ«×ªµç³¡ºó£¬´òµ½Ö½ÉÏ£¬ÏÔʾ³ö×ÖÌ壮ÎÞÐźÅÊäÈëʱ£¬Ä«Ö­Î¢µÎ²»´øµç£¬¾¶Ö±Í¨¹ýƫת°å¶ø×¢Èë»ØÁ÷²ÛÁ÷»ØÄ«ºÐ£®ÉèÆ«×ª°å°å³¤ÎªL£½1.6 cm£¬Á½°å¼äµÄ¾àÀëΪd£½0.50 cm£¬Æ«×ª°åµÄÓҶ˾àÖ½L1£½3.2 cm£¬ÈôÒ»¸öī֭΢µÎµÄÖÊÁ¿Îªm£½1.6¡Á10£­10 kg£¬ÒÔv0£½20 m/sµÄ³õËÙ¶È´¹Ö±Óڵ糡·½Ïò½øÈëÆ«×ªµç³¡£¬Á½Æ«×ª°å¼äµÄµçѹÊÇU£½8.0¡Á103 V£¬Èôī֭΢µÎ´òµ½Ö½Éϵĵã¾àÔ­ÉäÈë·½ÏòµÄ¾àÀëÊÇY£½2.0 mm£®²»¼Æ¿ÕÆø×èÁ¦ºÍī֭΢µÎµÄÖØÁ¦£¬¿ÉÒÔÈÏΪƫתµç³¡Ö»¾ÖÏÞÔÚÆ½ÐаåµçÈÝÆ÷ÄÚ²¿£¬ºöÂÔ±ßÔµµç³¡µÄ²»¾ùÔÈÐÔ£®

(1)ÉÏÊöī֭΢µÎͨ¹ý´øµçÊÒ´øµÄµçÁ¿ÊǶàÉÙ£»

(2)ÈôÓÃ(1)ÖеÄī֭΢µÎ´ò×Ö£¬ÎªÁËʹֽÉϵÄ×ÖÌå·Å´ó10£¥£¬Æ«×ª°å¼äµçѹӦÊǶà´ó£®

´ð°¸£º
½âÎö£º

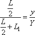
¡¡¡¡½âÎö£º(1)ī֭΢µÎÔÚÆ½ÐаåÔ˶¯Ê±£¬Óɵçѧ֪ʶ¿ÉµÃ£ºU£½Ed

¡¡¡¡Ä«Ö­Î¢µÎÔÚÊúÖ±·½ÏòµÄ¼ÓËÙ¶È£ºa£½

¡¡¡¡Ä«Ö­Î¢µÎÔÚÊúÖ±·½ÏòµÄÎ»ÒÆ£ºy£½t2

¡¡¡¡Ä«Ö­Î¢µÎÔÚÆ½ÐаåÔ˶¯Ê±¼ä£ºL£½v0t

¡¡¡¡Óɼ¸ºÎѧ֪ʶ¿ÉµÃ£º

¡¡¡¡ÁªÁ¢¿É½âµÃ£ºq£½1.5¡Á10£­13(C)

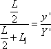
¡¡¡¡(2)Ҫʹ×ÖÌå·Å´ó10£¥£¬Ôòī֭΢µÎ´òµ½Ö½Éϵĵã¾àÔ­ÉäÈë·½ÏòµÄ¾àÀëÓ¦ÊÇ£½Y(1£«10£¥)

¡¡¡¡Éè´Ëʱī֭΢µÎÔÚÊúÖ±·½ÏòµÄÎ»ÒÆÊÇ£¬Óɼ¸ºÎ֪ʶ¿ÉµÃ£º

¡¡¡¡

¡¡¡¡¿É½âµÃ£ºU£½8¡Á103(V)


Ìáʾ£º

Çó½â´øµçÁ£×ÓÔڵ糡ÖÐµÄÆ«×ªÎÊÌâ×î»ù±¾µÄ˼ά·½·¨ÊÇÔ˶¯µÄ·Ö½â£¬¼´·Ö½âËٶȺͷֽâÎ»ÒÆ£¬¿ÉÀà±ÈƽÅ×Ô˶¯µÄÇó½â£¬ÁíÍâ×öƽÅ×Ô˶¯ºÍÀàÆ½Å×Ô˶¯µÄÎïÌåijµãµÄËÙ¶È·´ÏòÑÓ³¤Ï߱ؾ­¹ý¶ÔÓ¦Ë®Æ½Î»ÒÆµÄÖе㣬Õâ¸ö½áÂÛ¶ÔÇó½âÀàÆ½Å×Ô˶¯ºÜÓкô¦£®


Á·Ï°²áϵÁдð°¸
Ïà¹ØÌâÄ¿

Î¥·¨ºÍ²»Á¼ÐÅÏ¢¾Ù±¨µç»°£º027-86699610 ¾Ù±¨ÓÊÏ䣺58377363@163.com

¾«Ó¢¼Ò½ÌÍø