题目内容
【答案】分析:分别对A、B进行受力分析,根据牛顿第二定律求出它们的加速度,利用力与运动的关系,分析出A做匀减速,B做匀加速运动,当两者速度相等时,一起做匀减速运动到停止.
解答:解:对A:
=-4m/s2.
对B:
=1m/s2.
A对地做匀减速运动,B对地做匀加速运动,设经过时间t,A的位移为xA,B的位移为xB,两者达到共同速度v,然后共同做匀减速运动,最后停止.
对A:v=v+aAt

对B:v=aBt

代入数据,得:v=0.6m/s,t=0.6s,xA=1.08m,xB=0.18m
A对B的位移△x=xA-xB=0.9m
A、B共同运动的加速度
=-2m/s2.
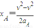
x=
=0.09m.
最终A对地的位移x总=xA+x=1.17m.
故最终A对地的位移1.17m.A对B的位移为0.9m.
点评:解决本题的关键是正确地对A、B进行受力分析,根据牛顿第二定律求出加速度,结合力与运动的关系,分析物体的运动状况.
解答:解:对A:
对B:
A对地做匀减速运动,B对地做匀加速运动,设经过时间t,A的位移为xA,B的位移为xB,两者达到共同速度v,然后共同做匀减速运动,最后停止.
对A:v=v+aAt
对B:v=aBt
代入数据,得:v=0.6m/s,t=0.6s,xA=1.08m,xB=0.18m
A对B的位移△x=xA-xB=0.9m
A、B共同运动的加速度
x=
最终A对地的位移x总=xA+x=1.17m.
故最终A对地的位移1.17m.A对B的位移为0.9m.
点评:解决本题的关键是正确地对A、B进行受力分析,根据牛顿第二定律求出加速度,结合力与运动的关系,分析物体的运动状况.
练习册系列答案
相关题目