题目内容

(10分)月球与地球质量之比约为1:80,一般情况下,我们认为月球绕地球运动,其轨道可近似认为是圆周轨道,但有研究者提出,地球的质量并非远远大于月球质量,故可认为月球和地球可视为一个由两质点构成的双星系统,他们都围绕地球与月球连线上某点O做匀速圆周运动。在月地距离一定的情况下,试计算这种双星系统所计算出的周期T1与一般情况所计算出的周期T2之比。(结果可用根号表示)

 

【答案】

【解析】

试题分析:设地球和月球的质量分别为M、m,其间距为L,在双星系统中地球与月球的轨道半径分别为R、r,则在双星系统中,对地球:

对月球:

其中   

整理得:

在一般情况下,对月球:

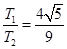
由上式得:

考点:万有引力与航天

 

练习册系列答案
相关题目

违法和不良信息举报电话:027-86699610 举报邮箱:58377363@163.com

精英家教网