题目内容

如图,原长分别为L1和L2,劲度系数分别为k1和k2的轻质弹簧竖直地悬挂在天花板上,两弹簧之间有一质量为m1的物体,最下端挂着质量为m2的另一物体,整个装置处于静止状态.现用一个质量为m的平板把下面的物体竖直地缓慢地向上托起,直到两个弹簧的总长度等于两弹簧原长之和,这时托起平板竖直向上的力是多少?m2上升的高度是多少?

答案:
解析:

  解:当两个弹簧的总长度等于两弹簧原长之和时,下面弹簧的压缩量应等于上面弹簧的伸长量,设为x. (1分)

  对m1受力分析得:m1g=k1x+k2x ① (1分)

  对平板和m1整体受力分析得:

  F=(m2+m)g+k2x ② (1分)

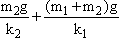
  ①②联解得托起平板竖直向上的力F= (2分)

  未托m2时,上面弹簧伸长量为x1 ③ (1分)

  下面弹簧伸长量为x2 ④ (1分)

  托起m2时:m1上升高度为:h1=x1-x ⑤ (1分)

  m2相对m1上升高度为:h2=x2+x ⑥ (1分)

  m2上升高度为:h=h1+h2 ⑦ (1分)

  ③④⑤⑥⑦联解得h= (2分)


练习册系列答案
相关题目

违法和不良信息举报电话:027-86699610 举报邮箱:58377363@163.com

精英家教网