题目内容

物体以初速度v0沿倾角为θ的斜面向上运动,返回到出发点时速度减小vt.到试求物体与斜面之间的动摩擦因数.

答案:
解析:

  对物体进行受力分析,求出向上和向下滑行的加速度,再由运动学公式求解.

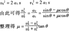
  物体向上滑行时加速度大小为

  a1=(sinθ+μcosθ)g

  向下滑行时加速度大小为a2=(sinθ-μcosθ)g,物体向上做初速度为v0、加速度大小为a1的匀减速运动,向下滑行时做初速度为零、加速度大小为a2的匀加速运动,且滑行的距离相等,所以

  


提示:

此题是牛顿第二定律与物体运动情况相联系的问题.解题时要注意上升加速度和下降加速度不等,用逆推法求出动摩擦因数.


练习册系列答案
相关题目

违法和不良信息举报电话:027-86699610 举报邮箱:58377363@163.com

精英家教网