ÌâÄ¿ÄÚÈÝ

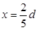
һˮƽ·ÅÖÃµÄÆ½ÐаåµçÈÝÆ÷µÄÁ½¼«°å¼ä¾àΪd£¬¼«°å·Ö±ðÓëµç³ØÁ½¼«ÏàÁ¬£¬Éϼ«°åÖÐÐÄÓÐһС¿×(С¿×¶Ôµç³¡µÄÓ°Ïì¿ÉºöÂÔ²»¼Æ)£®Ð¡¿×ÕýÉÏ·½´¦µÄPµãÓÐÒ»´øµçÁ£×Ó£¬¸ÃÁ£×Ó´Ó¾²Ö¹¿ªÊ¼ÏÂÂ䣬¾­¹ýС¿×½øÈëµçÈÝÆ÷£¬²¢ÔÚϼ«°å´¦(δÓ뼫°å½Ó´¥)·µ»Ø£®Èô½«Ï¼«°åÏòÉÏÆ½ÒÆ£¬Ôò´ÓPµã¿ªÊ¼ÏÂÂäµÄÏàͬÁ£×Ó½«(     )

A£®´òµ½Ï¼«°åÉÏ                 B£®ÔÚϼ«°å´¦·µ»Ø

C£®ÔÚ¾àÉϼ«°å´¦·µ»Ø            D£®ÔÚ¾àÉϼ«°åd´¦·µ»Ø

 

¡¾´ð°¸¡¿

D

¡¾½âÎö¡¿

ÊÔÌâ·ÖÎö£º´øµçÁ£×Ó´ÓPµãÓɾ²Ö¹¿ªÊ¼ÏÂÂ䣬¾­¹ýС¿×½øÈëµçÈÝÆ÷£¬ÔÚϼ«°å´¦·µ»Ø£¬¸ù¾Ý¶¯Äܶ¨ÀíÖª£¬£¬½«Ï¼«°åÏòÉÏÆ½ÒÆ£¬´ÓPµã¿ªÊ¼ÏÂÂäµÄÏàͬÁ£×Óµ½´ïϼ«°å´¦ÖØÁ¦×ö¹¦Îª£¬Ð¡ÓÚ¿Ë·þµç³¡Á¦×öµÄ¹¦Uq£¬ËùÒÔA¡¢BÑ¡Ïî´íÎó¡£Éè¾àÉϼ«°åx´¦·µ»Ø£¬¸ù¾Ý¶¯Äܶ¨ÀíÓУ¬ÁªÁ¢½âµÃ¡£ËùÒÔCÏî´íÎó£¬DÑ¡ÏîÕýÈ·¡£

¿¼µã£º¶¯Äܶ¨Àí¡¢Æ½ÐеçÈÝÆ÷

 

Á·Ï°²áϵÁдð°¸
Ïà¹ØÌâÄ¿

Î¥·¨ºÍ²»Á¼ÐÅÏ¢¾Ù±¨µç»°£º027-86699610 ¾Ù±¨ÓÊÏ䣺58377363@163.com

¾«Ó¢¼Ò½ÌÍø