题目内容
如图所示,长L=1.5m,高h=0.45m,质量M=10kg的长方体木箱,在水平面上向右做直线运动.当木箱的速度v=3.6m/s时,对木箱施加一个方向水平向左的恒力F=50N,并同时将一个质量m=1kg的小球轻放在距木箱右端(1)小球从离开木箱开始至落到地面所用的时间;
(2)小球放上P点后,木箱向右运动的最大位移;
(3)小球离开木箱时木箱的速度.
【答案】分析:(1)小球离开木箱后做自由落体运动,根据位移时间关系可以求得时间;
(2)对木箱受力分析,求出加速度,可以根据速度时间关系公式和位移时间关系公式分别求出位移和时间;
(3)先对木箱受力分析,根据牛顿第二定律求得加速度,然后可以先根据位移时间关系公式求得时间,再根据速度时间公式求末速度,也可以直接根据速度位移关系公式求末速度.
解答:解:(1)木箱上表面的摩擦不计,因此小球在离开木箱前相对地面处于静止状态,离开木箱后将作自由落体运动.
由
,得
小球从离开木箱开始至落到地面所用的时间为0.3s.
(2)小球放到木箱后,木箱的加速度为:

木箱向右运动的最大位移为:

小球放上P点后,木箱向右运动的最大位移为0.9m.
(3)x1小于1m,所以小球不会从木箱的左端掉下
木箱向左运动的加速度为

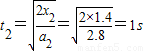
设木箱向左运动的距离为x2时,小球脱离木箱,则:

设木箱向左运动的时间为t2,则:
由
得:

所以,小球离开木箱的瞬间,木箱的速度方向向左,大小为:v2=a2t2=2.8×1=2.8m/s.
点评:本题关键对分向右减速和向左加速两过程对木箱受力分析后求得加速度,然后根据运动学公式求解待求量.
(2)对木箱受力分析,求出加速度,可以根据速度时间关系公式和位移时间关系公式分别求出位移和时间;
(3)先对木箱受力分析,根据牛顿第二定律求得加速度,然后可以先根据位移时间关系公式求得时间,再根据速度时间公式求末速度,也可以直接根据速度位移关系公式求末速度.
解答:解:(1)木箱上表面的摩擦不计,因此小球在离开木箱前相对地面处于静止状态,离开木箱后将作自由落体运动.
由
小球从离开木箱开始至落到地面所用的时间为0.3s.
(2)小球放到木箱后,木箱的加速度为:
木箱向右运动的最大位移为:
小球放上P点后,木箱向右运动的最大位移为0.9m.
(3)x1小于1m,所以小球不会从木箱的左端掉下
木箱向左运动的加速度为
设木箱向左运动的距离为x2时,小球脱离木箱,则:
设木箱向左运动的时间为t2,则:
由
得:
所以,小球离开木箱的瞬间,木箱的速度方向向左,大小为:v2=a2t2=2.8×1=2.8m/s.
点评:本题关键对分向右减速和向左加速两过程对木箱受力分析后求得加速度,然后根据运动学公式求解待求量.
练习册系列答案
相关题目