ÌâÄ¿ÄÚÈÝ
ÈçͼaËùʾ£¬Ë®Æ½Ö±ÏßMNÏ·½ÓÐÊúÖ±ÏòÉϵÄÔÈÇ¿µç³¡£¬ÏÖ½«Ò»ÖØÁ¦²»¼Æ¡¢±ÈºÉ£¨1£©ÔÈÇ¿µç³¡µÄµç³¡Ç¿¶ÈE
£¨2£©Í¼bÖÐt=
£¨3£©Èç¹ûÔÚOµãÓÒ·½d=68cm´¦ÓÐÒ»´¹Ö±ÓÚMNµÄ×ã¹»´óµÄµ²°å£¬ÇóµçºÉ´ÓOµã³ö·¢Ô˶¯µ½µ²°åËùÐèµÄʱ¼ä£®£¨sin37°=0.60£¬cos37°=0.80£©
¡¾´ð°¸¡¿·ÖÎö£º£¨1£©µçºÉÔڵ糡ÖÐ×öÔȼÓËÙÖ±ÏßÔ˶¯£¬¸ù¾ÝÔ˶¯Ñ§¹«Ê½ºÍÅ£¶ÙµÚ¶þ¶¨ÂɽáºÏ¿ÉÇó³öµç³¡Ç¿¶ÈE£®
£¨2£©µçºÉ½øÈë´Å³¡ºó×öÔÈËÙÔ²ÖÜÔ˶¯£¬·Ö±ðÇó³öµçºÉÔڴų¡ÖÐÔ˶¯µÄ°ë¾¶ºÍÖÜÆÚ£¬»³ö¹ì¼££¬Óɼ¸ºÎ¹ØÏµÇó³öt=
×10-5sʱ¿ÌµçºÉÓëOµãµÄˮƽ¾àÀ룮
£¨3£©µçºÉÔÚÖÜÆÚÐԱ仯µÄ´Å³¡ÖÐÔ˶¯£¬¸ù¾ÝÖÜÆÚÐÔ·ÖÎöµçºÉµ½´ïµµ°åǰÔ˶¯µÄÍêÕûÖÜÆÚÊý£¬¼´¿ÉÇó³öºÉÑØONÔ˶¯µÄ¾àÀ룮¸ù¾ÝµçºÉµ²°åǰµÄÔ˶¯¹ì¼££¬Çó³öÆäÔ˶¯Ê±¼ä£¬¼´µÃ×Üʱ¼ä£®
½â´ð£º
½â£º£¨1£©µçºÉÔڵ糡ÖÐ×öÔȼÓËÙÖ±ÏßÔ˶¯£¬ÉèÆäÔڵ糡ÖÐÔ˶¯µÄʱ¼äΪt1£¬ÓУº
v=at1 Eq=ma
½âµÃ£ºE=
=7.2×103N/C
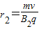
£¨2£©µ±´Å³¡´¹Ö±Ö½ÃæÏòÍâʱ£¬µçºÉÔ˶¯µÄ°ë¾¶£º
=5cm
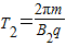
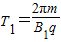
ÖÜÆÚ
=
µ±´Å³¡´¹Ö±Ö½ÃæÏòÀïʱ£¬µçºÉÔ˶¯µÄ°ë¾¶£º
=3cm
ÖÜÆÚ
=
¹ÊµçºÉ´Ót=0ʱ¿Ì¿ªÊ¼×öÖÜÆÚÐÔÔ˶¯£¬ÆäÔ˶¯¹ì¼£ÈçͼËùʾ£®
×10-5sʱ¿ÌµçºÉÓëOµãµÄˮƽ¾àÀ룺¡÷d=2£¨r1-r2£©=4cm
£¨3£©µçºÉ´ÓµÚÒ»´Îͨ¹ýMN¿ªÊ¼£¬ÆäÔ˶¯µÄÖÜÆÚΪ£ºT=
¸ù¾ÝµçºÉµÄÔ˶¯Çé¿ö¿ÉÖª£¬µçºÉµ½´ïµµ°åǰÔ˶¯µÄÍêÕûÖÜÆÚÊýΪ15¸ö£¬ÓУº
µçºÉÑØONÔ˶¯µÄ¾àÀ룺s=15¡÷d=60cm
¹Ê×îºó8cmµÄ¾àÀëÈçͼËùʾ£¬ÓУºr1+r1cos¦Á=d-s
½âµÃ£ºcos¦Á=0.6 Ôò ¦Á=53°
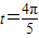
¹ÊµçºÉÔ˶¯µÄ×Üʱ¼ä£º
=3.86×10-4s
´ð£º
£¨1£©ÔÈÇ¿µç³¡µÄµç³¡Ç¿¶ÈEΪ7.2×103N/C£®
£¨2£©Í¼bÖÐt=
×10-5sʱ¿ÌµçºÉÓëOµãµÄˮƽ¾àÀëΪ4cm£®
£¨3£©µçºÉ´ÓOµã³ö·¢Ô˶¯µ½µ²°åËùÐèµÄʱ¼äΪ3.86×10-4s£®
µãÆÀ£º±¾ÌâÊÇ´øµçÁ£×ÓÔڵ糡ºÍ´Å³¡ÖÐÔ˶¯µÄÎÊÌ⣬µçºÉÔڵ糡ÖÐÔ˶¯Ê±£¬ÓÉÅ£¶ÙµÚ¶þ¶¨ÂɺÍÔ˶¯Ñ§¹«Ê½½áºÏÑо¿ÊÇ×î³£Óõķ½·¨£¬Ò²¿ÉÒÔÓɶ¯Á¿¶¨Àí´¦Àí£®µçºÉÔÚÖÜÆÚÐԴų¡ÖÐÔ˶¯Ê±£¬Òª×¥×¡ÖÜÆÚÐÔ¼´Öظ´ÐÔ½øÐзÖÎö£¬¸ù¾Ý¹ì¼£Çó½âʱ¼ä£®
£¨2£©µçºÉ½øÈë´Å³¡ºó×öÔÈËÙÔ²ÖÜÔ˶¯£¬·Ö±ðÇó³öµçºÉÔڴų¡ÖÐÔ˶¯µÄ°ë¾¶ºÍÖÜÆÚ£¬»³ö¹ì¼££¬Óɼ¸ºÎ¹ØÏµÇó³öt=
£¨3£©µçºÉÔÚÖÜÆÚÐԱ仯µÄ´Å³¡ÖÐÔ˶¯£¬¸ù¾ÝÖÜÆÚÐÔ·ÖÎöµçºÉµ½´ïµµ°åǰÔ˶¯µÄÍêÕûÖÜÆÚÊý£¬¼´¿ÉÇó³öºÉÑØONÔ˶¯µÄ¾àÀ룮¸ù¾ÝµçºÉµ²°åǰµÄÔ˶¯¹ì¼££¬Çó³öÆäÔ˶¯Ê±¼ä£¬¼´µÃ×Üʱ¼ä£®
½â´ð£º
v=at1 Eq=ma
½âµÃ£ºE=
£¨2£©µ±´Å³¡´¹Ö±Ö½ÃæÏòÍâʱ£¬µçºÉÔ˶¯µÄ°ë¾¶£º
ÖÜÆÚ
µ±´Å³¡´¹Ö±Ö½ÃæÏòÀïʱ£¬µçºÉÔ˶¯µÄ°ë¾¶£º
ÖÜÆÚ
¹ÊµçºÉ´Ót=0ʱ¿Ì¿ªÊ¼×öÖÜÆÚÐÔÔ˶¯£¬ÆäÔ˶¯¹ì¼£ÈçͼËùʾ£®
£¨3£©µçºÉ´ÓµÚÒ»´Îͨ¹ýMN¿ªÊ¼£¬ÆäÔ˶¯µÄÖÜÆÚΪ£ºT=
¸ù¾ÝµçºÉµÄÔ˶¯Çé¿ö¿ÉÖª£¬µçºÉµ½´ïµµ°åǰÔ˶¯µÄÍêÕûÖÜÆÚÊýΪ15¸ö£¬ÓУº
µçºÉÑØONÔ˶¯µÄ¾àÀ룺s=15¡÷d=60cm
¹Ê×îºó8cmµÄ¾àÀëÈçͼËùʾ£¬ÓУºr1+r1cos¦Á=d-s
½âµÃ£ºcos¦Á=0.6 Ôò ¦Á=53°
¹ÊµçºÉÔ˶¯µÄ×Üʱ¼ä£º
´ð£º
£¨1£©ÔÈÇ¿µç³¡µÄµç³¡Ç¿¶ÈEΪ7.2×103N/C£®
£¨2£©Í¼bÖÐt=
£¨3£©µçºÉ´ÓOµã³ö·¢Ô˶¯µ½µ²°åËùÐèµÄʱ¼äΪ3.86×10-4s£®
µãÆÀ£º±¾ÌâÊÇ´øµçÁ£×ÓÔڵ糡ºÍ´Å³¡ÖÐÔ˶¯µÄÎÊÌ⣬µçºÉÔڵ糡ÖÐÔ˶¯Ê±£¬ÓÉÅ£¶ÙµÚ¶þ¶¨ÂɺÍÔ˶¯Ñ§¹«Ê½½áºÏÑо¿ÊÇ×î³£Óõķ½·¨£¬Ò²¿ÉÒÔÓɶ¯Á¿¶¨Àí´¦Àí£®µçºÉÔÚÖÜÆÚÐԴų¡ÖÐÔ˶¯Ê±£¬Òª×¥×¡ÖÜÆÚÐÔ¼´Öظ´ÐÔ½øÐзÖÎö£¬¸ù¾Ý¹ì¼£Çó½âʱ¼ä£®
Á·Ï°²áϵÁдð°¸
Ïà¹ØÌâÄ¿